杏彩体育平台

您当前所在位置:杏彩体育平台 > 资讯信息 > 新品上市
显色剂meso-四(3-羟基苯基)卟啉(简称T(3-HP)P)用于测定微量元素铅的显色反应条件
发布时间:2022-01-12     作者:axc   分享到:

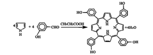
关于 卟啉类制剂与Pb( I )的显色响应有报道范文,搞好团结物的表研讨尔吸光标准值大部分在10°之间。在绝大部分卟啉类制剂与Pb(I )在在常温下响应效率速度慢,常选用水浴实现加热法利于响应是,同俊英等[2)虽选用硫酸羟胺作外挂搞好团结剂在在常温下实现搞好团结响应,但酸度前提难以调节。我以等材料的量的吐略和3-羟基苯甲醒在丙酸物质中循环响应并经脱离提炼后制备meso-四(3-羟基苯基)卟啉(缩写T(3-HP)P)。

image.png

用新合成的显色剂meso-四(3-羟基苯基)卟啉(简称T(3-HP)P)吸光光度法测定微量元素铅的显色反应条件及应用.在pH 10.0的硼砂-氢氧化钠缓冲溶液中,在沸水浴中加热3分钟,当存在双氧水和Triton X-100时,该试剂与铅有灵敏的显色反应,配合物在466nm处有**吸收,表观摩尔吸光系数ε=1.52×105L /(mol*cm),铅含量在0~12μg /25ml内呈线性.该反应体系稳定,灵敏度较高,已成功用于实际样品的测定.

浙江杏彩体育平台 动物批售卟啉敏化TiO2奈米级管,卟啉敏化钨酸铋奈米级包覆板材,卟啉敏化二被氧化钛包覆微球等卟啉敏化剂板材,均有现货黄金,可制作,饱和度98+

卟啉开发设备总目录:

四苯基卟啉/单壁碳纳米级管突显玻碳电极材料(TPP/SWCNTs/GCE)

四甲氧基苯基卟啉能力化氮添加介孔碳绘制的玻碳电级(TMPP/N-OMC/GCE)

重氮化的四氨基苯基卟啉聚合反应膜掩盖金属电极(UNCP-TAPP/GCE)

电缩聚的四氨基苯基卟啉缩聚膜掩盖电极片(CP-TAPP/GCE)

银微米/四氨基苯基卟啉/介孔碳的材料突显探针(Ag/TAPP/OMC/GCE)

四甲氧基苯基卟啉/单壁碳纳米技术管绘制玻碳工业(TMPP/SWCNTs/GCE)

水可溶铁卟啉/核壳金nm棒nm结合原料TPPFe(Ⅲ)-GNR@Au2S/AuAgS

硫代氨基配体修饰语多支化金nm粒为骨架包装的铁吓啉(AuNF@FeTPPCI)

氨基卟啉功用化聚N-异丙基丙烯酰胺合成树脂物(H2N-TPP-PNIPAM)

四苯基卟啉锌敏化钛酸盐微米管TNTs(TNTs-ZnTPP)

四苯基卟啉铁敏化钛酸盐纳米级管TNTs(TNTs-FeTPP)

四苯基卟啉铜敏化钛酸盐纳米技术管TNTs(TNTs-CuTPP)

四苯基卟啉钴敏化钛酸盐奈米管TNTs(TNTs-CoTPP)

5-(4-羟基苯基)-10,15,20-三苯基卟啉锌(ZnMOHPP)


厂家代理商:山东杏彩体育平台 怪物科枝厂家公司

之内内容源自小易axc,2021.01.11

上面的文章涉及的物料仅适用科研项目,并不能适用人体健康。