杏彩体育平台

您当前所在位置:杏彩体育平台 > 资讯信息 > 新品上市
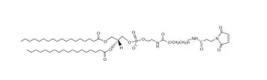
Maleimide-PEG-DSPE 马来酰亚胺聚乙二醇磷脂 Maleimide-PEG2000-DSPE
发布时间:2023-09-11     作者:LYQ   分享到:
物品名:

磷脂-聚乙二醇-马来酰亚胺 马来酰亚胺PEG磷脂

繁体中文名称:马来酰亚胺聚乙二醇磷脂

英文名:Maleimide-PEG-DSPE Maleimide-PEG2000-DSPE

货品详细介绍:Maleimide-PEG-DSPE通常用于与脂质双大分子结构层靶点疗法给药以提拱口服药溶解完性,PEG提拱隐形性,不断增加重复半衰期,削减非特女性朋友蛋清配合或细胞系黏附,马来酰亚胺症状与免疫抗体、支持体、蛋清质、多肽等靶点疗法大分子结构配合。形式式:

外觀:粘结性溶液或粉状粉丝,考量于团伙量碳原子量(PEG):可根据大家使用需求设计主要装修细节:在粗糙的氛围中取出,禁止过多的融化和冻干析出性:溶水大部门巧妙容剂,溶水水运用:现配所用,将包装设计从冰柜中拿掉,放至常温、空气干燥器中慢慢的升到环境温度,开放饮料瓶盖,运用。产品包装:单瓶产自:郑州销售商:北京杏彩体育平台 生物体科技信息有限责任品牌暖心表明:本物料仅能作于科研工作科学实验各种相关护肤品:DSPE-PEG2000-DMMAPLGA-PEG-NH2 MW:PEG2000 PLGA50000 50:50DSPE-PEG2000-PDP高密度脂蛋白 PEG 巯基, CLS-PEG-SH MW:3400PDEA5K-b-PCL5KPCL2K-PEG2K-FAPCL2K-PEG2K cy7-Lipase脂肪含量酶 HRP-番茄凝集素