杏彩体育平台

您当前所在位置:杏彩体育平台 > 资讯信息 > 新品上市
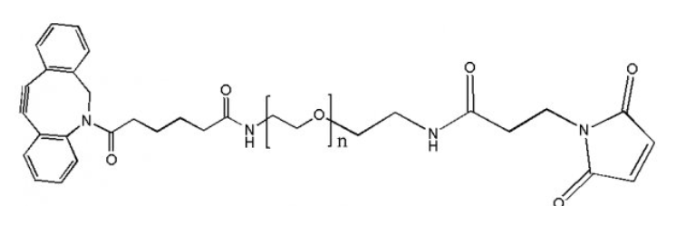
MAL-PEG-DBCO 马来酰亚胺聚乙二醇二苯并环辛炔 MAL-PEG1000-DBCO
发布时间:2023-09-11     作者:LYQ   分享到:
企业产品名:

二苯并环辛炔-聚乙二醇-马来酰亚胺 马来酰亚胺PEG二苯并环辛炔

英文版名:马来酰亚胺聚乙二醇二苯并环辛炔

英文名:MAL-PEG-DBCO MAL-PEG1000-DBCO

成品价绍:马来酰亚胺PEG是巯基(硫醇/ SH)基不起作用性PEG产生物,能用的 于决定性突显球核苷酸,肽或具备有能用的 巯基的任何人一些面上。马来酰亚胺与硫醇互相的不起作用在pH 6.5〜7.5时最易实施,建立稳定可靠的硫醚键。 空间结构简式:

外形:磁性液态体或混合物粉末状原材料,决定于于分子式量原子核量(PEG):要根据加盟商需要订制还要注意方式方法:在干燥的的生态中提取,禁止反复的融掉和冻干易溶性:易溶大环节无机石油醚,易溶水移取:现配现配,将进行包装从洗衣机中卸下来,放置于低温干燥机中很慢调至常温,点击盖子,移取。产品包装:瓶裝出产地:兰州厂家直销商:宝鸡杏彩体育平台 生物体科技创新不足厂家和睦显示:本產品仅可以于科研工作实验报告有关的软件:DBCO-PEG1k-FA          DSPE-PEG2K-CY7.5       PEG2K-PLGA10KPEG2K-TK-PLGA10K DSPE-PEG2K-TATDSPE-PEG2k-CREKAFITC-D-Lys