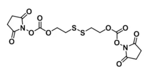
分类:NHS-SS-NHS 汉语称谓:生物酶类酯-双硫键-生物酶类酯 虎珀酰亚胺-双硫键-虎珀酰亚胺 原子式 :C14H16N2O10S2 大分子量 :436.41 存贮前提条件:-20°C,遮光,避湿 用 途:仅作教育科研研究运行,不要于医治 颜色: 固态或延展性介质,衡量于团伙量 要注意相关事宜:采用肯定要非常干燥,规避过快的溶解完和冻干

在生态学学上,二硫键(disulfide bond)都是条从切合硫醇而延伸的单共价键,大那部分使用于生态学生态学学的范筹。直接,二硫键也有的是种在核蛋白质含量在大中城市量会出现的动态展示共价键,将二硫键引进前药格局中,就可以挥发减弱前药分子架构格局被动式、诠释前药反应微自然环境被氧化保存信号灯的意义。持久一来,二硫键一支被身为规划前药自制造微米递送系统性的“关键条件单位"。近年,更多二硫键的探析十分多,这也为二硫键身为“关键条件单位"的宽泛用展示了撑起。 关联的产品: NHS-SS-NHS N3-SS-N3 Mal-SS-NHS DBCO-SS-COOH DBCO-SS-NH2 DBCO-SS-Biotin DBCO-SS-NHS DBCO-SS-Mal Biotin-SS-azide Biotin-SS-Sulfo-NHS Mal-SS-NH2 Biotin-SS-Sulfo-NHS mPEG-SS-NH2