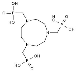
83834-39-3,NOTP的特征与化学性质
英文名称: NOTP
简体中文各称: NOTP
MF: C9H24N3O9P3
MW: 411.22
CAS: 83834-39-3
用处:研究感觉:气体/金属粉/水溶液存有:速冻供给:银川杏彩体育平台 生物制品社会有限的总部
多齿配位与螯合效应
NOTP 可通过三氮原子和三个膦酸氧原子与金属中心形成强配位键。由于其大环刚性和配位位点的对称性,能有效包裹金属离子,形成八配位或九配位复合物
金属选择性
NOTP 对于三价金属离子(如 Ga³⁺、In³⁺、Fe³⁺、Lu³⁺、Gd³⁺)具有高亲和性和稳定常数。
例如,Ga–NOTP 复合物的稳定常数 log K > 25,明显高于传统EDTA或DTPA配体。
酸碱调控能力
由于膦酸基团的pKa分布宽广,NOTP在不同pH下可呈现多种配位状态,使其在生理条件(pH 6–8)下仍能保持高稳定性。
水溶性与生物兼容性
NOTP 及其金属复合物具有高的亲水性和低细胞毒性,适合用于生物医学成像和金属药物递送。
介绍咱们:
昆明杏彩体育平台 海洋生物科学技术信息有局限集团有的是家担任科研项目免疫试剂、多肽、小碳原子PEG衍海洋生物、石墨炔(graphyne)有光建材、不锈钢合作物有光建材、超碳原子、光刻胶、溶剂的作用剂、光
电资料、MAX相瓷器,碳奈米管、物料、奈米资料、钙钛矿、蛋清质交连剂、光出现剂,脂质体、生成磷脂的科研开发、私人定制生成、制造和销售员的高科学生物学科学有限公司英文
总部
对应分享:
217973-03-0,DO3A56491-86-2,NOTA313229-90-2,CB-TE2A130701-19-8,1,4,7,10-四氮杂环十三烷-1,4,7,10-四乙酸二乙酸脱氧核酸,112193-75-6,DO2ASulfo-Cy7-E SE,Sulfo-Cy7-E 虎珀酰亚胺酯287970-46-1,EAM-1线粒体膜电势荧光探头EAM-2,2125661-97-2Sulfo-Cy7双蜜腊酰亚胺酯2032239-75-9,Mal-mono-amide-DTPAp-NH2-Bn-PCTA,2125661-64-3


杏彩体育平台
微信公众号
官方微信