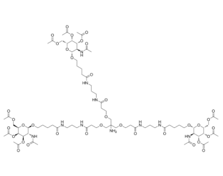
英文名 Tri-GalNAc(OAc)3
CAS号 1159408-64-6
分子量 1793.91
分子式 C79H128N10O36
情况:膏状/粉末状/硫酸铜溶液保存图片:冷藏箱生产:深圳杏彩体育平台
生物制品科学技术是有限的新公司

Tri-GalNAc(OAc)₃ 一种由四团伙 N-乙酰半乳糖胺(GalNAc, N-Acetylgalactosamine) 利用不同物理生物学上接手段形成的三聚体,有时候其羟基常常利用乙酸酯化(OAc)来保养。该物理生物学物质是糖物理生物学上与菌物偶联物理生物学上中至关重要的结构的模快,广泛appapp于 靶向疗法口服药递送(Targeted Drug Delivery)、糖缀合物结合 和 团伙测试探针共建。从格局角度看而言,Tri-GalNAc(OAc)₃ 的根本骨架由 GalNAc 单糖机组成型,每单糖采用糖苷键接触成型三聚体。因为非人工 GalNAc 团伙包含的许多羟基,非常容易出现不主掌控的缩合响应迟钝,因为在聚合阶段中常先适用 乙酸酯(Acetyl, OAc) 对羟基展开保护措施,因此改善响应迟钝确定义与化学式式相对稳定义。这也是其化学式式各称中包含的 (OAc)₃ 的因为。选用前沿技术
表面修饰与材料科学
Tri-GalNAc(OAc)₃ 可通过偶联反应接枝到高分子、纳米颗粒或多糖材料表面,用于构建特定的糖修饰界面。
糖缀合物构建
作为糖化学中间体,它能够与荧光染料、聚合物、树脂等偶联,生成多功能材料。
分子识别研究
GalNAc 单元能与特定蛋白或分子相互作用,三聚体形式可增强结合效果,因此常用于模拟天然糖链的多价相互作用。
合成化学
乙酰保护的糖单元易于纯化和储存,可作为后续复杂糖链合成的构建模块。
相应最新推荐:DOTA-Ala-Ala-COOH,螯合物前体肽蛋白质诞生物肽,1180007-00-41248343-67-0,DOTA-Ala-羧酸iFluor 680 Styramide,AlexaFluor680酪酰胺iFluor 647 Styramide荧光酪酰胺缀合物,iFluor 594 Styramide7298-65-9,荧光素二丁酸酯荧光活性染料-FAM,204697-37-0,5'荧光素氨基磷酸酯iFluor 555 Styramide