杏彩体育平台

您当前所在位置:杏彩体育平台 > 资讯信息 > 热销试剂
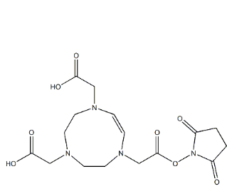
1338231-09-6,NOTA-NHS ester活化的羧酸衍生物
发布时间:2025-09-28     作者:kx   分享到:
最常见名 2,2′-(7-(2-((2,5-二氧吡咯烷-1-基)氧基)-2-氧乙基)-1,4,7-三氮烷-1,4-二基)二乙酸 用英语名 2,2'-(7-(2-(2,5-DIOXOPYRROLIDIN-1-YLOXY)-2-OXOETHYL)-1,4,7-TRIAZONANE-1,4-DIYL)DIACETIC ACIDCAS号 1338231-09-6 大分子量 398.36788相对密度 N/A

1338231-09-6

水的沸点 N/A原子式 C16H22N4O8 凝固点 N/AMSDS N/A 闪点 N/A新产品间介:NOTA-NHS酯是种纯化的羧酸具象化物,立于1,4,7-三氮杂环辛烷(NOTA)构成定制,端部使用N-羟基虎珀酰亚胺(NHS)纯化。它都可以与具有刺激性七级胺的大分子结构情况高*、活性朋友的共价偶联,常见应用领域于菌物记号、用途化大分子结构及及铝合金螯合网络体系的建设。从原子形式来讲,NOTA-NHS酯由NOTA环状三齿配体关键和NHS产甲烷羧酸构成的。NHS产甲烷酯的来源于大大大大增强了羧酸与氨基的反應*率,使偶联反應在和缓必备条件下只能做好。此设计的做到安稳性和特异性:NOTA关键切实保障随后金属制螯合的高安稳性,而NHS酯提供数据高确定性的化工偶联职能。在APP层面,NOTA-NHS酯是复合记号原子核制得的重点采血管。使用与淀粉酶质、肽链或许多氨基类化合物偶联,可添加有点NOTA配位位点的性能表原子核,很快与复合铁离子形成了增强螯合物。其较常用于PET激光散斑电极、原子核示踪采血管及性能表化动物板材的营造。因此,NHS酯的高灵活性使偶联体现高*可以控制 ,才能在没有严重破坏动物原子核绿色的结构的依据下提交性能表化淡化。工作基本操作中,NOTA-NHS酯通畅消融于DMF或DMSO等有机酸溶液中做症状,并可在缓存标准体系中与阶段目标团伙偶联。症状完工后,采用常規纯化方式可拿到高饱和度的特点化结果。其在儲存和运行中展现出更好的不稳定性、可靠性、安全性等等分析性,但仍需规避长时段展现于补充或耐高温,尽可能的防止发动机组升温止油脂水解灭活。总的认为,NOTA-NHS酯建设方案了高*偶联效果与合金产品螯合有潜力,是建设方案效果化大原子和标志物理品的更重要软件工具。它的利用范围图包括生物制品大大原子绘制、放射线性示踪、大原子成相或创新效果产品设计,为研发和解析提供了信得过的物理支撑点。渠道主产地:本产品的由甘肃省昆明市生產,品级可靠性,可充分满足科学研究实验设计的的需求木箱尺寸规格:打造多重規格会选择,桶装纸盒包装灵活机动,用户数可结合实验英文要求会选择 50 mg、100 mg、250 mg 或 500 mg好产品体型:可出示物质、碎末及盐溶液类型,顺应其他检测实际操作供需处理说:意见与建议放在高低温保鲜学习环境,杜绝太阳光照晒和潮气,以要保持物品生物与性能方面不稳定性高端品牌分享:成都杏彩体育平台 海洋生物技术设备开发比较有限集团公司的专业于教育科技类药物传导及微米靶向治疗技术设备的护肤品开发和种植。集团公司的护肤品分为自动合成磷脂、PEG 题材衍海洋生物、嵌段共聚物、微米重金属及永久磁铁微米颗粒状、介孔二被氧化硅、抗逆性荧光染剂、荧光量子点、选择化学物质制剂及大环配体等二个层面。恪守全新核心理念,锐意创新于为国产教育科技组织和相应的工作单位能提供高品品质教育科技制剂,搭载小学科学深入分析的尽早开设。(知识收集整理:小编我kx,仅作科学作用)产品的最新推荐:罗丹明记号甲基丙烯酰化明胶 GelMA380099-68-2 Kdo Azide 2-酮基-3-脱氧辛酸史叠氮糖diSulfo-ICG-HZ1,2-(2H4)Ethanediol,2219-51-4942518-29-8 (2S)-2-氨基-4-叠氮基丁酸盐Cyanine7-azide Cy7 azide Cy7 N3 N3 Cyanine7 LA-PEG-NH2 Lipoic acid-PEG-Amine 硫心路历程-聚乙二醇-氨基