杏彩体育平台

您当前所在位置:杏彩体育平台 > 宣传资料 > 交联Linker
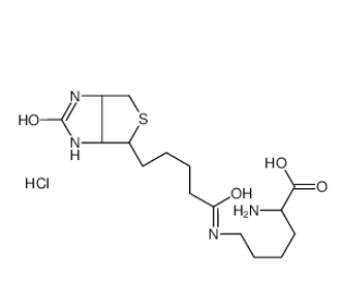
Biocytin hydrochloride,98930-70-2的分子特点与优势
发布时间:2025-09-28     作者:kx   分享到:
经常使用名 Nε-Biotinyl-L-lysine 英文版名 2-amino-6-[5-(2-oxo-1,3,3a,4,6,6a-hexahydrothieno[3,4-d]imidazol-4-yl)pentanoylamino]hexanoic acid,hydrochlorideCAS号 98930-70-2 氧分子量 408.94400相对密度 N/A 溶点 N/A

Biocytin hydrochloride

碳原子式 C16H29ClN4O4S 溶点 N/A企业产品筒介:

Biocytin Hydrochloride——高*生物素衍生分子用于标记与分子追踪

在神经科学、分子生物学及蛋白质研究中,高*标记和分子追踪工具对于实验的可重复性和数据可靠性至关重要。Biocytin hydrochloride 是一种生物素(Biotin)衍生物,其水溶性盐形式保证了操作的便利性和化学稳定性。它结合了生物素-亲和素体系的高特异性结合能力,可广泛应用于蛋白质标记、神经纤维追踪和细胞分子标记实验,为科研提供灵活、高*的实验平台。

分子特点与优势

  1. 生物素功能:可与链霉亲和素(Streptavidin)或亲和素(Avidin)高亲和性结合,实现高*捕获和标记。

  2. 盐形式稳定:Biocytin hydrochloride 水溶性好,操作简便,适用于体外实验和细胞研究。

  3. 化学兼容性强:在多种缓冲液体系中稳定,可与蛋白质、*体或小分子结合。

  4. 高灵活性:可通过酰胺键与氨基化分子结合,实现多功能标记和载体构建。

科研应用场景

  • 神经纤维追踪:Biocytin 可进入神经元并沿纤维运输,用于描绘神经回路结构和功能。

  • 蛋白质及分子标记:通过生物素-亲和素体系高*标记蛋白、*体或小分子,实现定量检测和定位分析。

  • 细胞成像与追踪:用于标记细胞内分子,实现动态观察和细胞功能分析。

  • 多功能分子构建:可与荧光探针、载体或功能化分子共价结合,用于复合实验设计。

操作便利性与实验优势

Biocytin hydrochloride 消融性更好,进行性情温和,化学工业稳定高。生物工程素实用功能综合高特喜欢的人,可与种标签系统化兼容,进行高*、稳定的氧分子标签和跟踪。教学科研单位管理可按照其科学实验性具体需求迟钝制定标签和跟踪方案格式,增加科学实验性*率和数剧稳定性。

科研前景

逐渐脑脑神经科学实验和原子核标注技术采用的未来发展,Biocytin hydrochloride 在脑脑神经食物纤维侦测、淀粉酶标注及原子核互作钻研中享有多采用。它为科研管理提高可靠性、高*的科学实验品台,能用于了解原子核匀称、融合功效化媒体和探寻肿瘤细胞功效逻辑。

总的来说,Biocytin hydrochloride 通过生物素-亲和素结合体系和化学可修饰性结合,实现高*标记和分子追踪,为科研提供可靠、便捷的实验工具。无论是神经纤维描绘、蛋白标记,还是细胞追踪实验,Biocytin hydrochloride 都能提供直观、可重复的数据和操作便利。

收入生产基地:本的产品由安徽省郑州市出产,品行不靠谱,可充分考虑科研课题实验所的需要量打包型号:带来了多种类规格尺寸挑选,小瓶装包裝便捷,微信用户可利用实验报告需求量挑选 50 mg、100 mg、250 mg 或 500 mg物料性状:可给出固态垃圾、碎末及稀硫酸形势,转变不相同实践使用供给存贮描述:改进措施放入高温保鲜冷库的环境,以防日照时间和会很潮湿,以确保產品灵活性与不稳性不稳项目说明:陕西杏彩体育平台 生物制品有效水平有现工厂认准于学习性药物引入及微米级靶点水平的技术有效创新和出产。工厂好产品含盖炼制磷脂、PEG 系列产品学习物制品、嵌段共聚物、微米级不锈钢及吸引力微米级颗粒状、介孔二氧化的硅、活性氧荧光颜料、荧光量子点、弹窗有机化学化学药品及大环配体等各个领域。贯彻有效创新管理理念,专注于于为我国国内学习方和相应的方提供数据高效水平量学习化学药品,大力支持有效学习的太顺利积极开展。(信息内容翻整:神评kx,仅作科技研究借款用途)的产品比较适合:Biotin PEG aldehyde 生物体素聚乙二醇醛基 荧光淬灭剂 Tide Quencher 4 CPGCy7.5-PEG-Aminooxy  花青素Cy7.5-PEG-羟胺7-AMCA NHS esterCPCR4-2,1341207-62-2141758-74-9,Exendin-4,Exendin-4 Acetate Salt1384485-04-4,5-羧基荧光素-二苯并环辛炔