杏彩体育平台

您当前所在位置:杏彩体育平台 > 资讯信息 > 科研动态
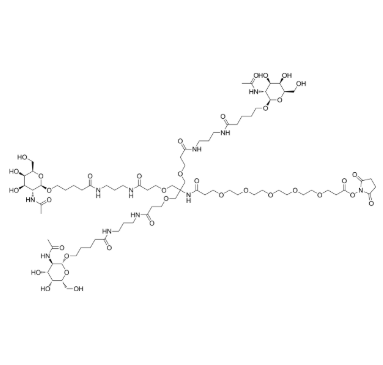
Tri GalNAc NHS,1953146-83-2可修饰的靶向糖基化中间体
发布时间:2025-09-26     作者:kx   分享到:

常用名 Tri-GalNAc-NHS ester

英文版名 Tri-GalNAc-NHS esterCAS号 1953146-83-2 氧分子量 1832.98溶解度 N/A

Tri GalNAc NHS

凝固点 N/A团伙式 C79H137N11O37 溶点 N/AMSDS N/A 闪点 N/A食品简绍:

Tri GalNAc NHS:可修饰的靶向糖基化中间体

Tri GalNAc NHS是一种科研用化合物,由 三聚N-乙酰半乳糖胺(Tri-GalNAc)NHS(N-羟基琥珀酰亚胺)活性酯 结合而成,是用于靶向分子修饰和偶联的中间体。它广泛应用于靶向药物、分子探针和糖基化研究中。

核心组成

  1. Tri-GalNAc(三聚N-乙酰半乳糖胺):能够识别肝脏中特定受体,如ASGPR受体,提供靶向能力。

  2. NHS(N-Hydroxysuccinimide)活性酯:可与氨基化合物反应,形成稳定的酰胺键,实现化学偶联。

主要特点

  • 靶向性明确:Tri-GalNAc可选择性结合特定受体,为靶向药物和分子探针提供定位能力。

  • 化学反应活性高:NHS活性酯可高效与氨基化合物形成共价连接,实现分子功能化。

  • 实验操作灵活:可在体外化学合成和生物标记实验中使用,适用于多种分子偶联和功能化处理。

科研应用

  1. 靶向药物开发:Tri GalNAc NHS可作为载体,将药物或分子递送到特定组织,实现精确定位。

  2. 分子探针制备:可用于偶联荧光染料、生物素或其他化学标记,实现分子可视化和功能化。

  3. 糖基化研究:用于模拟糖基化修饰,分析受体识别和糖分子作用机制。

  4. 化学合成优化:NHS活性酯提供高效连接方式,使多步骤合成更加可控,提高产物纯度。

优势总结
Tri GalNAc NHS结合了靶向糖基识别能力和NHS活性酯的高效化学偶联能力,使科研人员能够在药物开发、分子探针合成和糖基化研究中实现精准、可控的功能化处理。

简来看之,Tri GalNAc NHS如同一家“带钥匙的相连桥”,经过糖基判别特殊多巴胺受体,经过NHS活性氧酯保证 与原子的有效相连,为教学科研研究提拱比较灵活、有效的操作步骤的方式。来原出产地:本物品由山东省浙江市生产制造,品质质量靠谱,可具备成果转化调查的市场需求打包产品规格:带来多种多样品种会确定,罐装再生利索,粉丝可通过研究所需会确定 50 mg、100 mg、250 mg 或 500 mg产品设备形式:可供给固态垃圾、粉沫及悬浊液的方式,适于多种实验所的操作标准吸收代表:最好至于速冻速冻自然环境,规避光线照射和湿气大,以实现企业产品抗逆性与性能参数平衡项目价绍:广州杏彩体育平台 生物学科技厂家限制厂家主要是于完美口服药物传达着及微米靶点技术工艺的新物品开发和生产的。厂家物品包扩自动合成磷脂、PEG 一系列繁衍物学、嵌段共聚物、微米金屬及带磁微米粒子、介孔二防氧化硅、活性酶类荧光染色剂、荧光量子点、弹窗检查是否化学药品及大环配体等另一个层面。逐步形成革新设计理念,着手于打造于为国外完美设备和涉及到的机构可以提供高品产品品质完美化学药品,适配完美分析的顺畅展开。(网站内容收纳整理:网编kx,仅限于科技研究的主要用途)生产厂信息内容渭南瑞禧生物工程科技创新有限集团英文集团都是家集研发培训、生产方式和卖出为三合一的科研工作课题化学制剂各个公司,用心打造于技能大原子与高大原子建筑材料的的开发与个性定制安全服务项目。集团存在熟的聚合技術工作体系和多种多样的科研工作实践经验,产品的类别网络覆盖多科研工作朝向,丰富安全服务项目于高等学校、科研工作课题院所及各个公司科研工作室。经营项目食品也包括:提炼磷脂、PEG衍化物、嵌段共聚物、顺磁/超顺磁納米科粒,金納米原材料(納米金、金納米棒)、近红外颜料十分标上图片物、荧光标上图片的葡聚糖、BSA、链霉亲和素、多种不同蛋白酶热塑剂、小分子结构PEG单质等除此以外,工司还出示鼠标单击生物学化学药品、枝丫状整合物、环糊精、大环配体、荧光量子点、透明色质酸修饰物、石墨烯食材举例硫化物、碳nm食材(具有碳nm管、富勒烯)等前沿性食材,并认可投资者可根据明确检测方向开展分子式空间结构与作用的全屋定制发展。瑞禧海洋生物以科技驱动安装和服务管理抓手为重要管理理念,着力于于为教学科研员工打造稳定的稳定的板材处理好计划方案,电子助力物理学探讨效率稳步推进。本文件由我们kx收拾,全部科研项目应用决定性。成品推送:Azide-PEG-Aminooxy 叠氮聚乙二醇羟胺  N3-PEG-Aminooxy应用在DNA酶标识Sulfo-Cyanine5 dUTP 磺酸基Cy5-脱氧尿苷三磷酸5-fam YNE,510758-19-72615-15-8,Hexaethylene glycolAlexa Fluor 488 streptavidin149206-86-0,Dota-ggga