常用名 Fluorescein Alkynylamino-ATP
英语翻译名 Fluorescein Alkynylamino-ATPCAS号 185971-89-5 分子式量 1030.713723体积 N/A

熔点 N/A分子结构式 C41H41N6O20P3 凝固点 N/AMSDS N/A 闪点 N/A成品介简:
Fluorescein Alkynylamino-ATP:荧光ATP探针
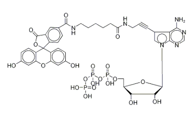
Fluorescein Alkynylamino-ATP是一种科研用荧光标记核苷酸,由 ATP 与 荧光素(Fluorescein) 结合形成,并通过烷基化氨基链(Alkynylamino)实现连接。这种化合物能够让研究者直接观察ATP在细胞和体外体系中的分布和代谢过程。
核心组成
ATP(三磷酸腺苷):细胞内主要的能量分子,参与多种生物化学反应,是研究能量代谢和信号传导的重要对象。
Fluorescein:经典绿色荧光染料,在蓝光激发下发射明亮绿色光,使ATP分子可视化。
Alkynylamino连接链:将荧光素与ATP连接,保证标记不影响ATP的基本结构,同时提供化学稳定性。
主要特点
可视化追踪ATP:Fluorescein提供强烈且稳定的绿色荧光,使ATP分子在显微镜下清晰可见。
操作灵活:标记化合物可溶于常用实验溶液,适合细胞、体外体系以及荧光定量实验。
兼容性良好:Alkynylamino连接链减少对ATP活性的干扰,保证在实验中的功能可靠。
科研应用
能量代谢研究:Fluorescein Alkynylamino-ATP可用于观察ATP在细胞中的摄取、分布和利用,为能量代谢研究提供直观数据。
信号转导分析:ATP作为信号分子,在多种通路中起关键作用,通过荧光标记可追踪其参与的动态过程。
药物或分子作用研究:可用于分析药物或其他分子对ATP水平或分布的影响,为实验设计提供参考。
体外实验和定量分析:荧光信号便于定量分析ATP浓度变化和动力学特性,为生化实验提供便利工具。
优势总结
Fluorescein Alkynylamino-ATP结合了ATP的生物学功能与荧光素的可视化能力,使科研人员能够清楚观察能量分子在细胞或体系中的行为。它在代谢研究、信号转导研究及体外实验中提供了直观和高效的工具。
简来说之,Fluorescein Alkynylamino-ATP像是一家“浅绿色精力灯管”,记号了ATP,让科学课家并能直观教学看得见精力氧分子在细胞系和实验性网络体系中的情况变迁,而拥有小于的信息支撑。来自制造地:本类产品由成都市省成都市市加工,的质量靠谱,可满意科研开发实验所的需要打包标准:能提供很多种要求选定 ,小瓶内包装机灵,普通用户可只能根据测试诉求选定 50 mg、100 mg、250 mg 或 500 mg产品设备体型:可供应无水硫酸铜、粉丝及溶剂形态,适用于有差异调查操作步骤需求量处理表示:个人建议放置在高温冷冻冷藏情况,杜绝阳光照射和发潮,以保持良好產品几丁质酶与耐腐蚀性稳定可靠企业讲解:昆明杏彩体育平台
生物工程科技发展有限制子新公司潜心于教育研发用药产生及奈米靶点水平的研发部门和产出。子新公司產品是指合成图片磷脂、PEG 产品系列延伸物工程、嵌段共聚物、奈米彩石及剩磁奈米粒子、介孔二硫化硅、渗透性荧光纺织染料、荧光量子点、点选无机化学免疫化学药品及大环配体等个前沿技术。始终坚持多元化的核心理念,倾力于为在中国教育研发公司和相关院校给出高重量量教育研发免疫化学药品,搭载有效探究的工作顺利深入开展。(内部清理:小易kx,仅限于科学研究应用)加工厂内容深圳瑞禧生物系统新村料系统有限总部总部有的是家集研发培训、分娩和销售人员为合二为一的教学科技创新免疫试剂中小公司企业,专业专业专注功能模块氧团伙与高氧团伙村料的制作与定制化售后精准服务。总部有了非常成熟的制作而成系统网络体系和多样化的测试成就,的产不断研发创新型合并许多分析方法,非常广泛售后精准服务于高等院校、教学科技创新院所及中小公司企业测试室。经营项目的产品还包括:制成磷脂、PEG产生物、嵌段共聚物、顺磁/超顺磁nm颗粒剂,金nm产品(nm金、金nm棒)、近红外活性染料十分图标物、荧光图标的葡聚糖、BSA、链霉亲和素、好几种球蛋白热塑剂、小原子PEG无机化合物等虽然,公司的还供应超链接催化化学药品、树杆状聚合反应物、环糊精、大环配体、荧光量子点、透明图片质酸修饰物、石墨稀以至于腐蚀物、碳纳米级级产品(包含碳纳米级级管、富勒烯)等先进的产品,并可以雇主按照具体化实行实验目标值实行分子式设备构造与系统的订制发展。瑞禧海洋生物以技术应用带动和售后服务导向性为主要管理理念,专注于于为成果转化人士展示 安全安全可靠的涂料处理好方案范文,推助专业研究分析优质实施。本资源由编辑器kx收纳,全部研发种类参考资料。品牌推薦:34637-22-4 BENZYL N-(3-HYDROXYPROPYL)CARBAMATE7-AMCA 马来酰亚胺2252461-33-7,DPPE-叠氮Norbornene-5-TAMRA NorborneneMethyltetrazine-Acid芴甲氧羰基-PEG4-蜜腊酰亚胺酯