杏彩体育平台

您当前所在位置:杏彩体育平台 > 资讯信息 > 热销试剂
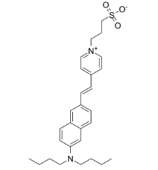
Di-4-ANEPPS,90134-00-2
发布时间:2025-09-25     作者:kx   分享到:

常用名 氢氧化4-(2-(6-(二丁基氨基)-2-萘基)乙烯基)-1-(3-磺丙基)吡啶鎓 内盐

用英文怎么说名 Di-4-ANEPPSCAS号 90134-00-2 分子式量 480.66

Di-4-ANEPPS

黏度 N/A 凝固点 N/A原子式 C28H36N2O3S 融点 N/A软件百科:

概述
Di-4-ANEPPS(4-(2-(6-(dibutylamino)-2-naphthalenyl)ethenyl)-1-(3-sulfopropyl)pyridinium)是一种广泛应用于生物电生理研究的膜电位指示染料。它属于苯基乙烯类电压敏感染料,通过对细胞膜电位变化的光学响应,实现对膜电位的实时监测。这种染料可用于心肌、神经元以及其他电活性细胞的研究,是研究细胞兴奋性和信号传导机制的重要工具。

分子特性
Di-4-ANEPPS具有明显的光谱特性,其激发光波长约为480 nm,发射光波长约为605 nm。其脂溶性结构使其能够插入细胞膜脂双层,同时带有带电侧链,可以增加染料在膜上的定位稳定性。该染料响应快速,能够反映毫秒级的膜电位变化,非常适合用于动态电生理成像。

应用领域
在心脏研究中,Di-4-ANEPPS可用于检测动作电位传导路径和心肌细胞间的电活动同步性。在神经科学领域,它可以监测神经元的膜电位变化和网络活动模式。此外,它还常用于研究药物对膜电位的影响,以及病理状态下细胞电活动的变化。

使用优势
Di-4-ANEPPS的主要优势在于高时间分辨率和对膜电位变化的敏感响应。相比传统微电极记录,它能够提供空间分布信息,同时减少对细胞的物理干扰。此外,它能够与多种成像设备兼容,包括高速荧光成像系统和光纤记录设备,使得实验设计更加灵活。

注意事项
使用Di-4-ANEPPS时,需要控制染料浓度和光照条件,以避免光毒性和染料自体荧光的干扰。同时,染料在某些类型的细胞中可能存在膜插入效率差异,因此在实验设计中需要进行优化和验证。

总结
Di-4-ANEPPS是一种可靠的膜电位指示染料,能够提供高时间分辨率和空间信息,在心脏与神经系统研究中均有重要应用价值。通过合理使用,该染料能够帮助科研人员深入理解细胞电活动的动态变化及其调控机制。

来原生产地:本的产品由山东省银川市生产制造,品性靠谱,可无法成果转化研究的标准标签印刷规模:提供了各种各样品种的选择,玻璃瓶包装机协调性,使用者可依照实验英文要的选择 50 mg、100 mg、250 mg 或 500 mg的产品形状:可作为粉末状原材料状、粉末状原材料及液体主要形式,适应能力不一实验室操作使用意愿处理反映:觉得放置恒温冷冻冷藏学习环境,防止阳光照射和朝湿,以实现护肤品抗逆性与性能参数相对稳定项目简介:广州杏彩体育平台 海洋生物高技术是有限的厂家用心打造于科学课用药产生及奈米靶点高技术的研发部和的生产。厂家产品的包扩合出磷脂、PEG 编衍海洋生物、嵌段共聚物、奈米材料及磁块奈米颗料、介孔二腐蚀硅、化学反应活化荧光纺织染料、荧光量子点、打开网页化学反应采血管及大环配体等多家行业领域。秉着什么是创新以人为本,锐意创新于为国内外科学课组织 和各种相关行业作为优质化量科学课采血管,扶持科学课探析的快速深入开展。(游戏内容总结:新闻哥kx,仅限科技研究使用)软件个性化推荐:丁炔-DOTA,2125661-62-1,Butyne-DOTA炔基遮盖大环配体BODIPY FL histamine,212495-58-42364591-77-3,二苯并环辛炔-PEG1-氨基甲酸叔丁酯AF 700 CTB,Alexa Fluor 700 CTB针对物2125661-91-6,NO2A-丁炔-二叔丁酯配体AF Plus 750 PhalloidinAF-594 amine Alexa Fluor594 NH2 AF 594氨基2269467-44-7,(2E)-TCO-PEG4-NHS ester