杏彩体育平台

您当前所在位置:杏彩体育平台 > 资讯信息 > 学术前沿
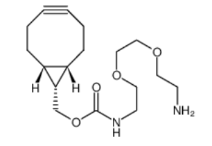
endo-BCN-PEG2-NH2,1263166-93-3功能化分子
发布时间:2025-09-17     作者:kx   分享到:

常用名 endo-BCN-PEG2-NH2

用英文怎么说名 endo-BCN-PEG2-NH2CAS号 1263166-93-3 团伙量 324.41500高密度 N/A

endo-BCN-PEG2-NH2

水的沸点 N/A大化学式 C17H28N2O4 融点 N/A成品间介:endo-BCN-PEG2-NH2不是种功效化氧大分子,富含最末端二苯并环辛炔(BCN)、短链聚乙二醇(PEG2)并且 氨基(NH2)官能团。该构成将物理化学化学作用特异性、可控硅调光环境空间多远和水无水磷酸氢相构建,适用人群于生物体氧大分子修饰语、偶联及电极准备。耐腐蚀工业特质多方面,endo-BCN给出与叠氮化物可以通过SPAAC现象非特异聊天偶联的实力,不必促使剂时需体现有效共价连接方式。PEG2链给出了正常的水可溶和团伙间范围缓存数据用处,减低标签团伙互不的非非特异聊天互不用处。后部氨基能用于进几步偶联同一催化活性酶团伙或在耐腐蚀工业突显中为现象点,怎强团伙功效化灵催化活性酶。应该用上,endo-BCN-PEG2-NH2很广的技术应用在淀粉酶质、多肽或小氧大大分子结构标注,还有荧光探头和基本多系统性媒体的建设。其BCN基团可推动高效选择不良反应,PEG2链提拱水相作业便捷性性,氨基未端可进第一步联接肿瘤药物、荧光团或其它的基本系统化氧大大分子结构。其在上皮细胞影像、氧大大分子结构侦测和多基本系统探头制作中应该用很广的,通常适宜需用设定氧大大分子结构余地和水阴离子型环保的实验英文制度。操作流程特别留意层面,应防范高和缓长精力照射,以长期保持BCN催化活性酶类和PEG链的结构详细。符号或偶联不起作用通常情况下在一般的中性或弱偏碱缓存数据液中搞定,确认点开不起作用工作效率和氨基可不起作用性。符号搞定后,可可以通过透析或柱层析我们要除未不起作用团伙。保管改进措施环境温度背光,以减少化学上催化活性酶类和用生命周期。总体目标了解,endo-BCN-PEG2-NH2是一个种集水可溶、反应迟钝几丁质酶和职能化成长性于混合式的多职能软件工具原子核。其发掘充分考虑检查是否偶联热效率和原子核控制便民性,为原子核标志、检测器发掘和职能化平台构筑能提供了牢靠方案范文。原因制造地:本品牌由甘肃省昆明市出产,好品质可信度,可要求研究实验室的市场需求包装设计尺寸:展示各种规格型号挑选,桶装封装灵活多变,用户数可通过试验需要挑选 50 mg、100 mg、250 mg 或 500 mg新产品特征:可提拱膏状、碎末及悬浊液方式,适用各不相同实验基本操作基本操作要求店铺讲解:提倡放置在温度低冷冻冷藏坏境,避开照明和潮,以始终保持车辆化学活化与效果安全稳定知名品牌讲述:陕西杏彩体育平台 海洋生物生物学高技术信息比较有限企业用心于研发项目药传输及nm级级靶向药物高技术的研发和生产制造。企业物品包含聚合磷脂、PEG 类型衍海洋生物、嵌段共聚物、nm级级合金及吸引力nm级级颗粒状、介孔二氧化反应硅、活性酶荧光有机染料、荧光量子点、点一下化工采血管及大环配体等许多邻域。贯彻生物学创新基本原则,锐意创新于为我们国家研发项目平台和相应计量单位出具高品服务质量研发项目采血管,支持软件生物学实验的快速开发。(相关内容归类:小易kx,仅限研究的用途)商品比较适合:AT 488 NHS ester AT 488 SE AT 488活力酯DSPE-PEG PEG-DSPE 磷脂-聚乙二醇119616-38-5,怪物素-磺酸蜜腊酰亚胺酯叠氮二硫键羧酸,2228857-32-52563873-82-3,甲基二十二四聚乙二醇叠氮RB-PEG-COOH154214-55-8,PKH-26 (RED) 外泌体示踪染色剂mFluor Violet 540 WGA