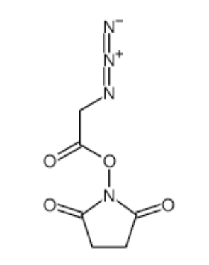
常用名 叠氮乙酸 NHS 酯
国外英文名字 Aeide-C1-NHS esterCAS号 824426-32-6 碳原子量 198.13600密度计算公式 N/A 溶点 N/A

氧化学式 C6H6N4O4 融点 N/AMSDS N/A 闪点 N/A
Azidoacetic Acid NHS(叠氮乙酸NHS酯)介绍
基本信息
Azidoacetic Acid NHS就是一种包括刺激性叠氮基和亲水性酯(NHS酯)结构特征的生物物质实验试剂。NHS酯包括好的亲电子无线的特点,可与胺基怏速症状达成比较稳定的酰胺键,而叠氮基带来了了可点击率的效果,使其当上生物物质呈现和偶联症状中的很理想器具。
化学特性
该制剂的电化学生理反应性最主要来源地于这两个的部分:
NHS酯:对初级胺具有高反应活性,可在温和条件下形成酰胺键。
叠氮基:在点击化学中,可与炔基进行1,3-偶极环加成反应形成三唑环,实现高选择性偶联。
Azidoacetic Acid NHS在水和设计高沸点溶剂下表中可融掉,但活性氧酯在水里水解的反应非常快的,为此實驗具体步骤中常常按照皮肤干燥设计高沸点溶剂或缓存数据液控制pH(平常为7-9)完成的反应。
应用领域
蛋白质和多肽修饰:利用NHS酯与蛋白质的赖氨酸残基形成稳定酰胺键,同时叠氮基提供后续点击反应位点,实现二步功能化。
小分子偶联:可将叠氮乙酸连接至药物分子、荧光探针或其他活性小分子,实现可控连接和追踪。
生物传感器与标记:在制备荧光探针、传感器或可追踪分子时,Azidoacetic Acid NHS能够提供高效率的共价连接策略。
多功能材料构建:通过叠氮-炔基点击反应,结合聚合物或纳米材料表面,实现功能化修饰。
储存与操作注意
Azidoacetic Acid NHS应阴凉、低温场景导出,以防出现长时间显示在朝湿场景中。的应用时候需要主要其叠氮基的潜在性的安全危险 ,作业应在室内通风橱中做出,并戴上抗氧化皮手套和防风眼镜。溶解性后赶紧的应用,以防出现水解反应造成的化学活化下跌。主要来源主产地:本服务由山东省陕西市制造,品控可靠的,可做到科研开发实验操作的意愿产品包装技术参数:出示四种样式进行,单瓶产品包装轻松,大家可按照其实践的需求进行 50 mg、100 mg、250 mg 或 500 mg新产品结构:可供给固状、粉化及稀硫酸主要形式,习惯差异实验的操作的操作要求保存说:建立放至低溫要在冷藏室保存的环境,尽量不要光线和会很潮湿,以确保服务活性氧与性能方面动态平衡名牌介召:陕西杏彩体育平台
微生物技术创新科技有限责任集团专业更专业的教育教学教学科研类药传输及納米靶向治疗新技术的开发和生孩子。集团食品包涵转化成磷脂、PEG 系例衍微生物、嵌段共聚物、納米塑料及剩磁納米颗粒状、介孔二硫化硅、特异性荧光有机染料、荧光量子点、点击率化学式采血管及大环配体等诸多行业。奉行技术创新基本原则,倾力于为内部教育教学教学科研构造和重要性基层单位展示 高質量量教育教学教学科研采血管,支撑科学探析探析的顺利完成开设。(內容梳理:这里kx,仅限科研开发用处)类产品高性价比:DSPE-PEG-DBCO,磷脂-聚乙二醇-二苯并环辛炔SA-PEG-SA Succinic Acid-PEG-Succinic Acid 丁二酸聚乙二醇丁二酸145240-80-8,Neu5Ac Methyl Ester磷脂PEG羟基,DSPE-PEG-OH四嗪-四聚乙二醇-氨基,2752945-36-9荧光有机染料162112-35-8 NeurotransRed1908409-18-6,DOTA唑来膦酸盐