杏彩体育平台

您当前所在位置:杏彩体育平台 > 资讯信息 > 新品上市
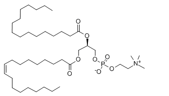
​18:1(n9)-16:0 PC - IsoPure,CAS:59491-62-2,18:1(n9)-16:0 磷脂酰胆碱的表征方法
发布时间:2025-09-05     作者:ssl   分享到:

18:1(n9)-16:0 PC - IsoPure,CAS:59491-62-2

18:1(n9)-16:0 PC - IsoPure代称:PC(18:1(n9)-16:0)-IsoPure中文字幕明称:18:1(n9)-16:0 磷脂酰胆碱英语各称:1-Palmitoyl-2-(n-9-octadecenoyl)-sn-glycero-3-phosphocholine18:1(n9)-16:0 PC - IsoPure 也是种高供大于求点度磷脂酰胆碱(PC)诞生物工程,都属于顺式单不供大于求点碳水有机物酸磷脂。其原子由甘油骨架、二条碳水有机物酸链和磷酸胆碱头基組成:sn-1 位为供大于求点碳水有机物酸棕榈酸(16:0),sn-2 位为顺式单不供大于求点碳水有机物酸(18:1,双键坐落 n-9 地址,即油酸)。IsoPure 表述该有机物经超高纯化,提高认识碳水有机物酸链地址、双键位点及顺式构型的超高均一性,使其为膜生物工程学、脂质体论述及脂质消化吸收浅析的完美涂料。


一、分子结构与功能特征

甘油骨架与脂肪的酸链sn-1 位进行连接16:0饱和脂肪细胞酸,给予膜位置KBK刚性sn-2 位连到18:1(n9)顺式单不供大于求人体脂肪酸,增强膜柔软性与流性甘油骨架供应两亲性支撑着的结构的,尽可能使自拆卸膜的结构的磷酸胆碱头基胆碱头基供给强亲水性树脂按照磷酸酯键与甘油骨架接进行膜接面,与水大分子及膜蛋白酶进行氢键和静电能目的两亲性设备构造与膜模拟仿真特点疏水链置于膜中心,亲水头基隶属于膜外层常用于在校园营销推广活动的环节之中所构建脂质三层绘图,模以天然的生态学膜的环境IsoPure 高含量确认双键位点确,有助于膜纯净水性、膜相活动和脂质-蛋清双方功用的研究


二、理化性质

外形与物理上的情况浅黄色色至淡深棕色碎末或蜡状固态物析出性顺畅,干澡状态下动态平衡融解性不溶充分石油醚如氯仿、二氯二氧化氮、无水乙醇在自来水中自安装建成脂质体或单氧分子膜层膜性状sn-1 16:0 链供应刚度sn-2 18:1(n9)顺式链提供数据韧度性可生成相对稳定且的市场流动性优惠的膜多层,非常适合膜淀粉酶放到深入分析物理化学稳定的性普通干燥的及闭光的条件下稳固双键易氧化反应,需高湿闭光补充中性粒细胞 pH 降低液中可靠,烧碱溶液或碱性可能性出现淀粉水解性与電子的特点胆碱头基出示亲水对话框疏水顺式链植入膜重要双键耐折关系膜微空间结构、膜流动量性及脂质-蛋白酶相互之间功用

18:1(n9)-16:0 PC - IsoPure,CAS:59491-62-2,18:1(n9)-16:0 磷脂酰胆碱 


三、合成与密纯化

18:1(n9)-16:0 PC 的拆分纯化属于油脂酸酯化、磷酸胆碱链接及 IsoPure 密拆分五个主要是方法步骤:甘油骨架脂肪多酸酯化甘油羟基各是与16:0和18:1(n9)油脂酸的反应形成了甘油二酯酶促使剂的作用或普通机械促使剂的作用,保障双键顺式构型货物分式的运算纯化可能够 柱层析磷酸胆碱接入甘油二酯与胆碱磷酸发展物反响建立磷酸酯键能力清新,逃避油脂酸油脂水解IsoPure 密纯化色谱仪色谱或超临介射流色谱分離油脂酸异构体保证 双键确在 n-9 地位高纯净度乙酰乙酸是和膜微生理学及脂质体研究方案


四、表征方法

核磁检查现象(NMR)1H-NMR 和 13C-NMR 核验甘油骨架、脂肪的酸链及磷酸胆碱空间结构双键有机化学位移认可18:1(n9)双键角度质谱(MS)确检验原子量及脂质酸组成部分检验高饱和度和同质性红外光谱仪(IR)论文检测酯键、磷酸酯及 C=C 症状峰有效色谱仪色谱(HPLC)分割异构体和副化合物监控器溶解度及密布局膜管理体系分析方法新动态光散射(DLS)测定法脂质体颗粒直径差示扫码量热(DSC)分析一下膜相塑造温差荧光标注研究可评定膜移动性


五、应用领域

膜生物技术学探索构筑脂质双层线路类别分析膜流动量性、脂质筏及膜淀粉酶放入行为表现脂质体与奈米膜蛋白使用于制法脂质体或脂质纳米级颗粒肥料调节膜流通性和板厚为,改善药装封高效率脂质细胞代谢与信息学习可以于讲解脂质细胞代谢、脂肪含量酸轉運及移动信号信号通路身体之外或活体實驗均可可视化管理脂质犯罪行为根基与软件研究分析IsoPure 高含量切实保障科学试验重覆性要用于膜蛋清能力、肿瘤药物-脂质彼此目的及生物工程膜学习


六、总结

18:1(n9)-16:0 PC - IsoPure(CAS:59491-62-2)是种高溶解度顺式单不饱合磷脂碳原子组成部分,由甘油骨架、16:0 和 18:1(n9)皮下皮脂酸链及磷酸胆碱头基形成。其两亲性组成部分和膜流量性功用使其在膜生态学学、脂质体搭配、脂质代谢率及膜蛋白质功用实验所中还具有大面积使用。碳原子组成部分用皮下皮脂酸酯化、磷酸胆碱拼接及密纯化准备,并用 NMR、MS、IR 和 HPLC 表现,有保障双键地理位置确和高溶解度,为基础框架完美实验所及肿瘤药物设计规划能提供是真的吗实验所的工具。

西安杏彩体育平台 生物提供多种 PC(磷脂酰胆碱) 与 PE(磷脂酰乙醇胺),来源可靠、纯度高,无论是用于 脂质体构建、膜模型研究,还是 药物递送与功能化纳米颗粒制备,都能提供稳定的性能保障。多样的链长、饱和度和修饰类型,让科研人员可根据实验需求灵活选择,轻松搭建高效实验平台。

设备厂家:渭南杏彩体育平台 生态学信息技术限制新公司作用:科研工作壮态:气体/纳米银水溶液/水溶液產地:咸阳舒适日历提醒:仅作成果转化,并不能用作躯干实验室!一些护肤品:16:0-18:1 PC,CAS:26853-31-618:1-16:0 PC,CAS:59491-62-216:0-18:2 PC,CAS:159701-21-018:1-14:0 PC,CAS:95896-56-318:0-20:4 PC,CAS:35418-59-818:0-22:6 PC,CAS:59403-52-0