杏彩体育平台

您当前所在位置:杏彩体育平台 > 资讯信息 > 新品上市
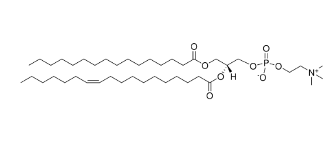
​16:0-18:1(n7) PC - IsoPure,CAS:132295-25-1,1-棕榈酰-2-(11Z-十八烯酰)-甘油-3-磷酸胆碱的合成与纯化路线
发布时间:2025-09-05     作者:ssl   分享到:

16:0-18:1(n7) PC - IsoPure,CAS:132295-25-1

16:0-18:1(n7) PC - IsoPure 的16:0-18:1(n7) PC - IsoPure 也是种高色度、功能模块化磷脂酰胆碱(PC)繁衍物,包括甘油磷脂行业类型。其原子由甘油骨架、好几条皮脂的酸含量酸链及磷酸胆碱头基根据:一部为16:0饱和状态皮脂的酸含量酸,另一类部为18:1顺式不饱和状态皮脂的酸含量酸(双键坐落ω-7地点)。IsoPure 表明该单质通过密区分和纯化,确认皮脂的酸含量酸根据和双键地点的高同质性,是膜生物工程学论述、脂质机制备及脂质分解论述的重要的设备。


一、分子结构与功能特征

16:0-18:1(n7) PC 分子的结构的结构由甘油骨架、五条脂质的酸链及磷酸胆碱头基分解成。甘油骨架的这两个羟基分离与16:0和18:1(n7)脂质的酸型成酯键,最后个羟基利用磷酸酯与胆碱头基相连。其职能本质特征有:膜传播量性调整:16:0过饱和链带来了膜刚性基础和体积尺寸,18:1(n7)链的顺式双键带来了弯折变形性和传播量性,SEO优化膜的微情况,好膜淀粉酶内嵌和脂质制度备。同质高朝:IsoPure 说路过密剥离,脂肪细胞酸分为和双键区域程度清透,可驱除异构体打扰,改善进行实验再次性和正规性。两亲性结构类型:胆碱头基提高亲水画质,乳酸酸链提高疏水目标,使分子结构可自拆装成脂质加厚或脂质体。学习类别用途:16:0-18:1(n7) PC 要用于模似大自然磷脂组合而成,学习膜流chan性、脂质代谢率及膜相应的手机信号径路。


二、理化性质

的外观与物理学工作状态16:0-18:1(n7) PC - IsoPure 一般性为淡黄色固态或蜡状碎末,结晶体性良好的,恒温的下普通机械动态平衡性强。融掉性原子核在非性或弱性有机的容剂(如氯仿、二氯二氧化氮、乙醚)中溶化性良好的,可确立了单原子核层、脂质双层线路或脂质体。水相溶化性低,但可可以通过自拼装确立了奈米脂质体科粒。膜优点16:0链提供了身体局部硬性,18:1(n7)链的顺式双键诠释膜柔软性,使膜在温暖条件下实现流动性比率性,更适合膜球蛋白设计及脂质体融合。生物学比较稳相关性在常溫、干燥的及闭光必要状况下安全稳定,但应解决强酸性、强酸强碱及高温高压。多余脂肪酸双键机会在强钝化必要状况签发生过钝化反响,必须店铺于常温和惰性气息下。网上与性属性胆碱头基给予亲水对话框,可与水氧分子生成氢键和如何消除静电功能;脂肪含量酸链疏水价值体系生成平稳膜,双键弯度调节膜微型式。

16:0-18:1(n7) PC - IsoPure,CAS:132295-25-1,1-棕榈酰-2-(11Z-十八烯酰)-甘油-3-磷酸胆碱 

三、合成与纯化路线

16:0-18:1(n7) PC 的制得一般 包涵脂肪的酸酯化、磷酸胆碱对接及高纯化除理:甘油骨架乳酸酸酯化甘油羟基与16:0及18:1(n7)人体脂肪酸化学反应行成甘油二酯水平:酸催化氧化氧化或酶催化氧化氧化,保障脂肪的酸链全部性及顺式双键实现纯化:柱层析或液质色谱彻底清除未响应底物磷酸胆碱接入甘油二酯与胆碱磷酸延伸物生成磷酸酯键因素:温和性巧妙石油醚采集体系,切实保障高产出率纯化:HPLC 或柱层析有溶解度可超过99%的 IsoPure 货物IsoPure 密分離用到液质色谱或超临界值气流色谱,隔离异构体,抓好18:1双键确座落在ω-7职位终化合物高饱和度,选用到怪物理耐腐蚀学和膜怪物学分析。


四、表征方法

核磁振动(NMR)1H-NMR 和 13C-NMR 用做验证甘油骨架、油脂酸链及磷酸胆碱框架双键位点可使用显著特点耐腐蚀位移认定,为 IsoPure 具备格局查证质谱(MS)确判断分子式量及肌肉酸链主成,明确高溶解度和同质性红外光谱分析(IR)检则酯键、磷酸酯及C=C基本特征抖动峰高效益高效液相色谱(HPLC)网络监控含量及双键异构体拆分感觉膜保障体系因素表现动态的光散射(DLS)和差示扫码量热(DSC)中用脂质体比表面积、游动性和相演变温度表浅析


五、应用价值

膜菌物学学习16:0-18:1(n7) PC - IsoPure 可于引入脂质双重整治,深入分析膜黏性性、脂质筏行成及膜蛋白酶融入到的行为。高色度和双键同质性能保证调查导致高可多次。脂质构成备与类药物递送原子可自组装流水线转变成脂质体,调节管控膜分子运动性和膜高度,提供药材封裝吸收率和递送稳固性。IsoPure 高色度能够避免异构体对膜构成和工作的印象。脂质细胞代谢与生物技术催化探索常用于休外或体内的理论科学研究皮下脂肪酸产生、酶非特异聊天的作用及脂质产生讯号通道,为产生问题及膳食纤维学理论科学研究提高对模型。膜蛋白质的功能学习在脂质加厚中融入膜蛋白酶质质,可实验脂质场景对蛋白酶质质型式和吸附性的应响,为膜蛋白酶质质口服药靶点实验作为确模形。


六、总结

16:0-18:1(n7) PC - IsoPure 是一种高纯度、功能化磷脂分子,由甘油骨架、16:0饱和脂肪酸、18:1(n7)顺式不饱和脂肪酸及磷酸胆碱头基组成。其结构兼具两亲性、膜流动性调控能力和高纯度特性,适合膜生物学研究、脂质体制备、膜蛋白功能研究及脂质代谢实验。分子通过甘油骨架脂肪酸酯化、磷酸胆碱连接及密分离制备而成,终产物通过 NMR、MS、IR 和 HPLC 等方法表征。16:0-18:1(n7) PC - IsoPure 的同质性和高纯度特性使其成为现代膜生物学和脂质研究的重要工具分子,为基础科学研究和药物研发提供可靠的实验材料。

西安市杏彩体育平台 海洋生物给出许多种 PC(磷脂酰胆碱) 与 PE(磷脂酰工业乙醇胺),来源于可靠性、纯更高,而是是适用于 脂质体打造、膜3d模型研究方案,就是 用量递送与功能表化微米小粒提纯,都能给出稳定的的安全性能保障机制。多种的链长、趋于稳定度和体现结构类型,让研发专业人员可选择测试需求量机灵选择,放松建造高测试app平台。厂:咸阳杏彩体育平台 生物学科技有限的我司有限的我司种类:科研管理睡眠状态:物质/粉沫/液体出产地:上海祥和警示:全部研发,不可能用作人体本身实验设计!有关系好产品:16:0-18:1(n7) PC - IsoPure,CAS:132295-25-118:1(n10)-16:0 PC - IsoPure,CAS:2389048-47-718:1 Lyso PC,CAS:19420-56-518:1-06:0 NBD PC,CAS:106974-05-415:0-18:1-d7-PC,CAS:2097561-16-318:1-12:0 NBD PC,CAS:190792-36-0