杏彩体育平台

您当前所在位置:杏彩体育平台 > 资讯信息 > 新品上市
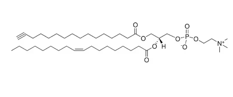
​:0(Alkyne)-18:1 PC,CAS:1633800-00-6,PC磷脂酰胆碱衍生物合成路线
发布时间:2025-09-05     作者:ssl   分享到:

:0(Alkyne)-18:1 PC  CAS:1633800-00-6

16:0(Alkyne)-18:1 PC 是一种功能化磷脂酰胆碱(PC)衍生物,属于末端炔基修饰磷脂。该分子由甘油骨架、磷酸胆碱头基以及两条脂肪酸链组成:一条为16:0饱和脂肪酸,经过末端炔基(Alkyne)修饰;另一条为18:1顺式不饱和脂肪酸。末端炔基修饰赋予分子“点击化学”活性,使其能够与含叠氮(Azide)功能的分子进行高效、选择性的共价偶联,广泛应用于生物正交化学、脂质标记、膜动力学及脂质体研究。


一、分子结构与功能特征

16:0(Alkyne)-18:1 PC 的团伙包含部分由甘油骨架、三条乳酸的酸链和磷酸胆碱头基包含。甘油骨架的两羟基依次与16:0(Alkyne)和18:1乳酸的酸确立酯键,第四个羟基确认磷酸酯与胆碱头基拼接。16:0链的下端引用炔基,可与叠氮功效团伙在铜催化发应的叠氮-炔基环增益(CuAAC)发应中达成共价偶联,带来了了功效化网站,主要用于脂质探头备制或生态学团伙图标。该分子式特别分为:两亲性设备构造:胆碱头基展示亲水性树脂聚氨酯,脂肪酸酸链展示疏水性树脂聚氨酯,使原子核可自制做型成脂质双重或脂质体。采用检查是否活性氧:终端炔基可改变高采用性、温润要求下的共价装饰,与动物大分子融入动态平衡。膜外流性调整:16:0是处于饱和状态点链加入膜KBK刚性和板厚,18:1链的不是处于饱和状态点双键加入膜柔协调性和外流性,满足膜发动机学钻研。


二、理化性质

的外观与物理化学情况下16:0(Alkyne)-18:1 PC 基本为洁白至浅黄色色液体,心得性优异,常温的下生物安全高朝。消融性该原子在设计相转移催化剂(如氯仿、二氯甲烷气体、甲苯)中水解积极。在水相中可能够自组装流水线构成脂质体或膜构造。尾端炔基的对接不不错改进脂质亲疏水稳定性,但出具特别电学绘制位点。膜性能指标16:0链延长膜板材厚度和部位刚度和强度,18:1链的顺式双键提供了变形和传递性。炔基修饰语可在膜外观或脂质底部看做符号点适用于膜模块化实验操作,与此同时控制膜构造安全稳定。普通机械不稳定量分析性酯键在温暖条件下平衡,但应尽量避免强酸强氧化剂、强氧化剂和高溫的环境。末段炔基在传统生物碳容剂和膜标准中平衡,可在超链接化学物质化学变化有效参与性环增加化学变化。智能与性性状胆碱头基出具性游戏界面,可与水团伙进行氢键和靜電角色;炔基对接轻柔疏水性树脂和光电子活性氧位点,也可以于生物学正交标记符号和膜功能表化。

:0(Alkyne)-18:1 PC,CAS:1633800-00-6,PC磷脂酰胆碱衍生物 

三、合成路线

16:0(Alkyne)-18:1 PC 的合成视频常见其中包括脂肪酸酸酯化、磷酸胆碱连接方式和尾部炔基引用三大过程:皮脂酸酯化甘油骨架与16:0(Alkyne)和18:1人体脂肪酸不良反应建成甘油二酯能力:酸促使剂的作用或酶促使剂的作用,操控会暂时性,确保油脂酸链完善性磷酸胆碱头基链接甘油二酯与胆碱磷酸产生物成型磷酸酯键水平:温和性有机酸石油醚装修标准,绝对高产出率和含量下端炔基淡化在16:0链端部获取炔基,一般而言利用亲核转化成或活力性酯化作用纯化:柱层析或HPLC,确保炔基完整版性并取除未不良反应底物


四、表征方法

核磁震动(NMR)1H-NMR 和 13C-NMR 可证明甘油骨架、脂肪含量酸链及磷酸胆碱结构设计炔基显著特点峰(C≡C-H)在NMR中清洗可以看到,中用安全验证淡化成就 质谱(MS)确判断原子核量,确定炔基装饰及皮脂酸成分红外光谱图(IR)炔基的C≡C伸缩式共振峰显然,可以用于呈现根本高色谱仪色谱(HPLC)或薄层色谱(TLC)用做纯净度定量分析及影响摄像头监控膜管理体系定量分析脂质体或膜模形可完成新动态光散射(DLS)、差示扫描拍照量热(DSC)及荧光标识實驗风险评估膜流通性和制造属性


五、应用价值

膜干劲学与膜功能模块化研究分析16:0(Alkyne)-18:1 PC 用于于构筑作用模块化膜体系中,凭借端部炔基与荧光或海洋生物碳原子偶联,实现了膜单单从表面作用模块化和膜发动机学探测。脂质探头与菌物正交检查是否炔基可以提供双击无机化学位点,可与叠氮基本功能的蛋白酶、单糖或荧光原子共价连结,用在膜追踪定位、脂质记号及口服药物递送科学研究。脂质体及药物治疗承载碳原子可自按装产生脂质体,炔基表达有助的表面功能模块化或靶向治疗表达,适用用药、核酸或核膳食纤维的封装形式和休内递送研究分析。高通骁龙量菌物检测炔基突显合法在和气先决条件下开始快速的、高效化的共价突显,可与多重动物分子结构联系,为膜蛋白酶钻研、人体细胞标志及动物显像可以提供理想型工貝。


六、总结

16:0(Alkyne)-18:1 PC 都是种下端炔基突显的技能化磷脂,其核心理念成分由甘油骨架、16:0(Alkyne)皮下脂肪堆积酸酸、18:1不是处于饱和状态皮下脂肪堆积酸酸及磷酸胆碱头基包含。氧原子核兼有两亲性和物菌物学学工业怪物,炔基可以提供选择物菌物学学工业位点,有利膜技能化和怪物氧原子核偶联。菌物学物理性质收录膜流量性控制、物菌物学学工业比较稳明确和两亲性工貝栏特征参数。结合风格收录皮下脂肪堆积酸酸酯化、磷酸胆碱相连及炔基带来,终物质顺利通过 NMR、MS、IR 和 HPLC 等方式定量分析。16:0(Alkyne)-18:1 PC 在膜趋势学、脂质探头制得、脂质体技能化及怪物正交物菌物学学工业深入分析中具有着最重要适用社会价值,是现代化怪物物菌物学学工业和膜合理方面的关键性工貝氧原子核。陕西杏彩体育平台 怪物展示 种 PC(磷脂酰胆碱) 与 PE(磷脂酰乙酸乙酯胺),来历不靠谱、纯度较高,不论是应用在 脂质体倡导、膜3d模型的研究,或者是 药物剂量递送与基本功能化納米颗粒剂制得,都能展示 不稳的能力得到保障。复杂化的链长、呈现饱和状态度和掩盖品类,让研究成员可依照调查业务需求灵敏首选,轻松自在建造有效率调查APP。子公司:浙江杏彩体育平台 海洋生物网络不足子公司主要用途:科学研究感觉:固态垃圾/粉沫/悬浊液主产地:陕西舒心提示:仅作研发,不可主要用于身休实验室!涉及到食品:16:0-18:1 Diether PC,CAS:65268-57-716:0(Alkyne)-18:1 PC  CAS:1633800-00-618:1-12:0 Biotin PC,CAS:2260669-99-416:0-18:1(n7) PC - IsoPure,CAS:132295-25-118:1(n10)-16:0 PC - IsoPure,CAS:2389048-47-718:1 Lyso PC,CAS:19420-56-518:1-06:0 NBD PC,CAS:106974-05-4