杏彩体育平台

您当前所在位置:杏彩体育平台 > 资讯信息 > 新品上市
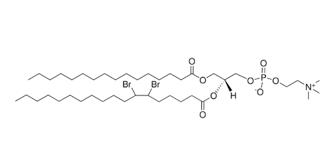
16:0-18:0 (6-7BR) PC,CAS:324054-50-4的理化性质
发布时间:2025-09-05     作者:ssl   分享到:

16:0-18:0 (6-7BR) PC,CAS:324054-50-4

16:0-18:0 (6-7-dibromo) PC 是一种独特的磷脂类化合物,属于磷脂酰胆碱(PC)衍生物,由甘油骨架、磷酸胆碱头基和两条脂肪酸链组成。分子中一条为饱和棕榈酸(16:0),另一条为十八烷酸(18:0),且在18:0脂肪酸链的6、7位碳原子上引入两个溴原子。该化学修饰赋予分子特有的物理化学性质,使其在膜生物学研究、脂质体制备、药物递送及分子动力学研究中具有重要应用价值。


一、分子结构与两亲性特征

16:0-18:0 (6-7-dibromo) PC 的型式兼备主要的两亲性特征英文:甘油骨架相连二条疏水脂质含量酸链,磷酸胆碱头基呈亲水溶性。甘油骨架的这两个羟基差别与16:0和6,7-二溴18:0脂质含量酸变成酯键,别的个羟基用磷酸酯与胆碱相连。种型式使原子核就能够在水相制度中自拆卸,变成脂质三层、脂质体或微乳粒状。6、7位碳共价键的溴化绘制是该原子结构核的关键的优点。溴共价键密度大、性极强,可怎强人体脂肪酸链的柔性基础,调整脂质在膜中的追踪定位,并变更链间堆积用处和原子结构核间之间用处,得以应响膜它的厚度、流通性及液晶显示器相活动。与的溴代地址(如11,12或4,5位)较之,6、7位溴代更靠到甘油骨架中段,对膜不规则柔性基础和微学习环境的应响非常有效。


二、理化性质

美观与工具心态16:0-18:0 (6-7-dibromo) PC 常常为白至淡黄色固态,极具非常好晶体性。在低温过热蒸汽下稳定性,好实验室管理室保管和使用。溶解完性该碳原子在非性或弱性充分相转移催化剂(如氯仿、甲苯、二氯丁烷)中熔化分解性优异,而在底层的水中熔化分解度有限制。其在水标准中的自装配效果强,可建立脂质双重、脂质体或奈米颗粒剂,为膜沙盘模型和药材递送标准提供数据的基础。膜优点溴电子层增强了乳酸酸链的弹性和原子核质量,上升膜重量和固判定。液晶拼接屏相塑造平均温度较未溴代PC上升,液-液质拆分现状更显著的,为膜驱动测力、脂质筏及膜蛋白质融入到科学研究提供数据完美模特。药剂学固定性分析16:0-18:0 (6-7-dibromo) PC 对常规性进行实验状况稳固,但需应对温度高、强光直接及强阳极腐蚀物,防范溴氧分子剥落或人体脂肪酸链阳极腐蚀。存贮于通风、干热氛围可延缓稳固性。智能电子与光学仪器性溴氧原子对多余脂肪酸链的智能数据区域划分兼有国家宏观调控做用,影向膜高斯模糊化区域环境。该特征参数在膜检测器和碳原子虚拟仿真的研究探讨中需用于的研究探讨膜电荷量数据区域划分、碳原子间充分做用及脂质-蛋清充分做用。

16:0-18:0 (6-7BR) PC,CAS:324054-50-4 

三、合成路线

16:0-18:0 (6-7-dibromo) PC 的获得通常情况涵盖二步:溴代蛋白质酸化学合成、甘油骨架酯化及磷酸胆碱头基拼接。6、7-二溴二十烷酸的制取原辅料:十七烷酸或油酸影响:按照确定性溴化,将溴原子结构结构对接蛋白质酸链的6、7位碳原子结构结构水平:温度控住响应迟钝带宽,确定温和怡人萃取剂(如二氯二氧化氮或四氢呋喃),避开副响应迟钝形成其余溴代乙酰乙酸纯化:柱层析或重结晶体,以得到高饱和度11,12-二溴 18烷酸甘油骨架酯化原石:甘油或甘油衍生产品物响应:甘油羟基与16:0皮脂的酸及6,7-二溴18:0皮脂的酸建成酯键方式方法:可采取酸离子液体酯化或人体脂肪酶离子液体,加强组织领导高进行性与比较稳明确纯化:色谱仪色谱或柱层析的还原未不良反应底物和副产品磷酸胆碱头基连接方式原辅材料:甘油二酯中部体与胆碱磷酸繁衍物发生症状:在弱酸碱度或有机会石油醚情况下做好磷酸酯化发生症状,将胆碱头基进行连接至甘油骨架纯化:快速液质色谱(HPLC)纯化,保证终服务的高纯净度


四、表征方法

核磁共振检查现象(NMR)1H-NMR 和 13C-NMR 可剖析甘油骨架、脂肪堆积酸链及磷酸胆碱头基结构类型溴原子结构导入地方在化学上位移上产生特殊性数字信号,证实6、7位溴化的首选性质谱(MS)判定原子量与主成,保持对方乙酰乙酸产生红外光谱图(IR)监测酯键、磷酸酯键及溴代皮脂酸特征描述振功峰薄层色谱(TLC)与效率高液质色谱(HPLC)适用于追踪在期间体反應进度表及终有机物纯净度


五、应用价值

膜生态学学研究分析16:0-18:0 (6-7-dibromo) PC 可用为膜模板,适用研究方案膜板材的厚度、膜流性及脂质-淀粉酶相互之间功用。6、7位溴代定位临近甘油骨架,使膜局布硬性改善,为脂质筏及膜淀粉酶融入到作为自然模板。脂质体与药剂递送疏水肌肉酸链可封装形式脂溶解性中药,胆碱头基保证 水相散落性。溴原子团怎强脂质体膜不稳判定性,变长反复时段并推广控释性能特点,对靶向疗法递送体现了风险的优势。分子式仿真模拟研究探讨16:0-18:0 (6-7-dibromo) PC 快速可用于原子能量学模拟训练,探讨溴代脂质酸对膜流体结构力学性能及原子间共同效应的决定,为新型的膜村料及制剂质粒载体方案供应概念适用。


六、总结

16:0-18:0 (6-7-dibromo) PC 是一种结构独特、功能多样的溴代磷脂,其6、7位溴代脂肪酸链赋予分子膜局部刚性调控能力、脂质体稳定性及自组装能力。其理化性质包括两亲性结构、膜流动性调控、化学稳定性及溶剂自组装行为。合成路线包括6、7-二溴十八烷酸制备、甘油骨架酯化以及磷酸胆碱头基连接,终产物通过NMR、MS、IR和HPLC等手段表征。该分子在膜生物学、脂质体制备、药物递送及分子模拟研究中应用广泛,是基础科学研究和新型药物载体开发的重要工具。

银川杏彩体育平台 生物制品供给四种 PC(磷脂酰胆碱) 与 PE(磷脂酰工业乙醇胺),因素可靠性、纯度更高,不论是代替 脂质体整合、膜模形探索,还是要 用量递送与技能化nm小粒化学合成,都能供给保持稳定的功能质量保障。丰富的链长、是处于饱和状态度和掩盖业务类型,让科研项目员工可要根据检测实际需求灵活性高进行,高效化修建高效化检测app。厂商:西安市杏彩体育平台 动物现代科技不多品牌使用:研发情形:无水硫酸铜/粉沫/稀硫酸产址:深圳和谐温馨提示信息:只供成果转化,没有中用我们身体研究!涉及到的食品:18:1-14:0 PC,CAS:95896-56-318:0-20:4 PC,CAS:35418-59-818:0-22:6 PC,CAS:59403-52-018:0 propargyl PC,CAS:1830366-39-618:0 PC-d83,CAS:326495-40-318:0-azo PC,CAS:2098674-45-218:0 PC-d74,CAS:326495-38-918:0 azidoethyl PC,CAS:2342574-09-6