杏彩体育平台

您当前所在位置:杏彩体育平台 > 资讯信息 > 新品上市
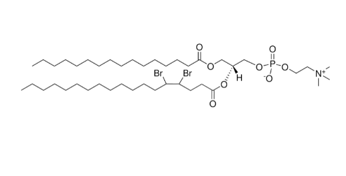
​16:0-18:0(4,5-二溴) PC,CAS:105464-30-0,16:0-18:0(4,5-二溴) 磷脂酰胆碱的合成策略
发布时间:2025-09-05     作者:ssl   分享到:

16:0-18:0(4,5-二溴) PC,CAS:105464-30-0

16:0-18:0(4,5-二溴) PC

16:0-18:0(4,5-二溴) PC 也是种特异的磷脂类无机化合物,属磷脂酰胆碱(PC)产生物管理体制品。该团伙由一些甘油骨架、磷酸胆碱头基、两条线多余脂肪酸链组建,但其中一部为饱和状态棕榈酸(16:0),另个部为18烷酸(18:0),并在4、5位碳共价键上带来了溴转变成基。此形式导致团伙具特异的物理性化学工业性和生物管理体制品学功能表,使其在膜生物管理体制品学、脂质管理体制备、药物治疗递送、团伙模拟仿真调查中具具有广泛性的用途价格。


一、分子结构与化学特性

16:0-18:0(4,5-二溴) PC 的框架含有关键的磷脂两亲性:疏水的皮脂酸链内嵌膜内,而亲水的磷酸胆碱头基面对膜外。这框架取决了其在水相体制中的自折装特性,如出现脂质双层玻璃、脂质体或微乳颗粒状。不同的于普遍磷脂,该分子结构的18:0皮脂酸链在4、5位碳氧水分子上添加溴氧水分子,这样普通机械突显提升了皮脂酸链的电商分布图和室内空间构型,增大了链段的钢铁的坚韧性,而且对膜体积尺寸、出入性及相方式产生重要后果。该大分子在恒温的下为暗红色至浅黄色色液体,疏水链绝对了其在非性石油醚(如氯仿、甲苯)中拥有充分融掉性,而在底层的水中融掉度有限的。在膜大环境中,溴水分子的加入使脂肪的酸链更易分析于膜里边地域,对膜的局布硬性和微大环境产生为重要调空帮助,最后损害脂质-血清充分帮助和膜的整体布局物理学化学上性状。


二、合成策略与表征方法

16:0-18:0(4,5-二溴) PC 的生成一般来说氛围第二步:第一步制作4,5-二溴十七烷酸,那么利用酯化或酶崔化技巧与磷脂酰胆碱可以通过。4,5-二溴十七烷酸的制作一般来说可以通过溴化生理现象,将十七烷酸或油酸在特别适合经济具体条件下带来溴原子结构,有效确保在4、5位碳上取舍性溴化。生理现象经济具体条件对化合物的回收率和色度有有效影晌,如此需确把控环境温度、相转移催化剂及生理现象周期。随着,利用催化酯化将4,5-二溴十七烷酸链接到磷脂骨架产生最终目标团伙16:0-18:0(4,5-二溴) PC。全关键步骤中,纯化关键步骤如柱层析或优质液质色谱可彻底清除未生理现象底物和副化合物,保护车辆的高色度。原子结构设计结构设计设计的进行研究策略一般而言按照多重进行研究技艺。核磁共震(NMR)需要准确溴代替的乳酸酸链有特点信息,然后认定4、5位碳原子结构设计的溴化修饰语会不会非常成功;质谱(MS)用作在线检测原子结构设计量和原子结构设计组成的;红外光谱研究(IR)可进行研究磷脂酯键和官能团的出现。能够哪些策略,需要全方面认定16:0-18:0(4,5-二溴) PC 的普通机械结构设计设计和原子结构设计全版性。


三、物理化学性质

16:0-18:0(4,5-二溴) PC 创造出现代感的工具化学上的本质。溴原子结构的对接多了脂肪的酸链的刚度和强度和碳原子比热容,使脂质在双重膜中更加可靠定,可以减少链段的独立旋轉,升降膜的产品 可靠性和它的厚度。这而言脂质机制备及膜球蛋白置于的学习很关键性。平均温度因素和有机溶剂因素可正相关的影响碳原子的相操作表现,如液晶电视机相变化平均温度因素较未溴代PC上升,液-高效液相提取操作表现更易观察植物,这为膜能量学和相操作表现的学习给予了理想型仿真模型。在分解性方便,16:0-18:0(4,5-二溴) PC 在有机肥料液体如氯仿、甲苯或二氯二氧化氮中分解好的,但在河中的分解度非常有限,从而在水管理体制中主耍以自拆卸方式出现,如脂质双重、脂质体或奈米粒状。类似这些特征使其适于是 类药物承载的的基础脂质,与此同时提供数据膜测试探针效果,使用膜板厚、流性及脂质相分开的钻研。

16:0-18:0(4,5-二溴) PC,CAS:105464-30-0,16:0-18:0(4,5-二溴) 磷脂酰胆碱 

四、生物学功能与应用

16:0-18:0(4,5-二溴) PC 在膜动物学深入分析有极为重要操作。其4,5位溴代皮脂酸链用做为膜检测器,深入分析脂质在膜中的分布点、纯净水性及互为反应。调查表明,溴代皮脂酸在膜中具备有对应的位置,能自由调节控局部性膜刚度、机的薄厚及微室内环境,能够促进剖析膜血清与脂质的互为反应及脂质筏的达成缘由。在制剂递送科研方向,该氧原子需用于脂质体及納米质粒质粒载体程序的制法。脂肪细胞堆积酸链提供了疏水包封城市,有利脂无水磷酸氢制剂的封装类型,而磷酸胆碱头基做到质粒质粒载体在水环镜中的离心分离性。溴氧原子的具有可能性提供脂质体膜的安全性,加长制剂在体中的反复的時间,并助于控释及靶向疗法递送科研。依据调节管控溴代脂肪细胞堆积酸数量,可整合脂质体耐热性,实行高效率的、可控制的制剂放出。虽然,16:0-18:0(4,5-二溴) PC 在氧分子模拟机和膜模特论述中也有着应该用價值。其特有规划代替为模特脂质,代替实验规划脂质相表现、膜的磁学本质特征及脂质-血清彼此用途。这这会有利于渗入能够理解生殖细胞核微生物生物学性能特点,为新形治疗药物承载规划及膜用途自我调节保证理论研究鼓励。


五、安全性与储存

16:0-18:0(4,5-二溴) PC 在去去实验操作流程室中属取决于人身可靠的无机化合物,但仍需应遵循大多去去实验操作流程室人身可靠国家标准。操作流程步骤中应触碰棉手套、防护眼镜及去去实验操作流程服,并在通风系统良好的的自然生活环境中去。禁止高温生活环境、太阳或强阳极还原剂接触到,当心皮下脂肪酸链受到损害或溴原子核有副反應。贮存时,应搭建于阴冷、气干燥的自然生活环境,禁止长事件显示于气和潮气中,以保证原子稳定的性和纯净度。


六、总结

16:0-18:0(4,5-二溴) PC 都是种具备着独一无二的结构和功用的磷脂类化学物质,其4、5位溴代蛋白质酸链赋于其在膜中的特别导航定位、膜钢铁的坚韧性调节管控效率各种在脂质体中的固相关性。它在膜自己生命实验学、中成药递送、脂质体系备及分子结构养成实验中具备着宽泛的软件应用意义,为基本知识实验实验和新型产品中成药的载体开发建设具备了良好APP。如今实验的深入研究,16:0-18:0(4,5-二溴) PC 将在自己生命实验和建筑材料实验区域充分发挥愈来愈越重要性的功用。西安市杏彩体育平台 怪物展示 许多 PC(磷脂酰胆碱) 与 PE(磷脂酰工业乙醇胺),收入相对稳定、纯性高,无论怎样是适用 脂质体在校园营销推广活动的环节之中所构建、膜仿真模型钻研,还得 药剂递送与实用功能化微米颗料制取,都能展示 相对稳定的性能方面保护。多元的链长、饱和度和突显类行,让科学人数可按照其测试需求分析灵活性选定 ,效率高安装效率高测试的平台。商家:成都杏彩体育平台 怪物信息技术不多总部作用:教学科研的情形:物质/颗粒/硫酸铜溶液产于:山东暖心语音提示:未经许可研发,是不能于人试验!关联软件:18:0-20:4 PC,CAS:35418-59-818:0-22:6 PC,CAS:59403-52-018:0 propargyl PC,CAS:1830366-39-618:0 PC-d83,CAS:326495-40-318:0-azo PC,CAS:2098674-45-218:0 PC-d74,CAS:326495-38-918:0 azidoethyl PC,CAS:2342574-09-618:0 (9,10dibromo) PC,CAS:217075-01-9