杏彩体育平台

您当前所在位置:杏彩体育平台 > 资讯信息 > 新品上市
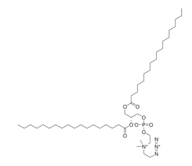
18:0 Azidoethyl PC,CAS: 2342574-09-6,功能化磷脂的结构特征、合成及应用
发布时间:2025-09-05     作者:ssl   分享到:

18:0 azidoethyl PC,CAS:2342574-09-6

18:0 Azidoethyl PC(CAS: 2342574-09-6):功能化磷脂的结构特征、合成及应用

一、引言

18:0 azidoethyl PC 也是种模块性化磷脂大原子核,其独一无二独到之处就是:在磷脂胆碱头基的乙基部位引出了叠氮(azido)模块性团。其CAS号为2342574-09-6。叠氮基团也是种高速活跃的生物体工程学模块性基,可与炔基或的打开网页生物体工程学现象底物高效能现象,保证大原子核模块性化或符号。18:0 azidoethyl PC 在脂质组学、脂质体现、膜核蛋白论述及智力药剂递送设备中享有诸多应用领域。确认打开网页生物体工程学,其可能与荧光颜料、聚乙二醇(PEG)、生物体工程素相应药剂大原子核共价融合,才能保证膜组成成分模块性化、可以控制 药剂释放出及生物体工程影像论述。


二、化学结构与分子特性

18:0 azidoethyl PC 的原子核由甘油骨架、多个硬脂酸链和磷酸胆碱头基组建,其节构特征首要涵盖:脂质的酸链:两只过剩硬脂酸(18:0)链为疏水核心内容具备比较稳判定。过剩脂质的酸链保障原子核在脂质单层中生成极高系统化的格局。甘油骨架:甘油的C1、C2位联接硬脂酸链,C3位联接磷酸胆碱头基。磷酸胆碱头基功效化:头基的乙基端部引出叠氮基团(-N3),变成物理活化功效点,可与炔基分子结构引发点物理体现。叠氮技能化:叠氮基团极具高现象性,同一在膜生态环境中保持稳定,不应响脂质自安装技能,可达成原子核标上或从表面装饰。该制定能让 18:0 azidoethyl PC 既坚持磷脂膜的通常物理防御电耐腐蚀物理性质,又增长了可以控制电耐腐蚀掩盖用途,为智力脂质物料的设计给予了方便快捷。电学生物学材质原子量:约为800–850 g/mol(特定考量于叠氮衍化化)纯净度:一般>95%,完成高效化高效液相色谱(HPLC)或薄层色谱(TLC)手机验证水解性:可易溶氯仿、氯仿/甲醇相混机制,适用脂质体制性备不不稳义性:在背光、情况温度条件下不不稳义,制止太阳和强展现情况生物渗透性:叠氮基团可在常温或温柔环境下与炔基原子借助铜催化氧化叠氮-炔烃环加上(CuAAC)症状发生的高效化鼠标点击偶联

18:0 Azidoethyl PC,CAS: 2342574-09-6 

三、合成方法

18:0 azidoethyl PC 的合并比如比如叠氮化胆碱的形成与磷脂偶联几步:叠氮酒精衍生产品胆碱化学合成确认将 2-溴无水乙醇或 2-溴乙基胆碱与叠氮钠(NaN3)作用,准备 azidoethyl 胆碱里面体。磷脂偶联将 azidoethyl 胆碱与二硬脂酰甘油磷酸酰化反應,养成终的 18:0 azidoethyl PC 分子结构。纯化与核验生成化合物常常凭借柱层析或HPLC纯化,并凭借核磁震荡(NMR)、质谱(MS)认定结构的,时确认叠氮基团亲水性。在合成图片操作过程中,必须要杜绝高溫、强氧化剂或强恢复备份因素,防范叠氮基团吸附,时候确保安全生产磷脂骨架组成部分详细唯一性。


四、应用领域

1. 点击进入生物学淡化与作用化18:0 azidoethyl PC 的叠氮基本功能模块使其可与炔基原子核造成提高效率选择偶联反应迟钝,完成荧光标志、聚乙二醇化或食用的药物偶联。类似这些化学工业可控制性使其在膜基本功能模块化、脂质表浅面掩盖及生物工程感测器器来设计中具有着差异化的优劣势。2. 脂质机制备与智能化类药物递送伴随 18:0 azidoethyl PC 能否自主装成脂质两层膜,探讨者可在脂质猪体面确认鼠标单击生物绘制中成药或靶点疗法氧分子,变现光控或生物影响响应的的中成药减少。其可以控制生物反响性展示了高、稳固的中成药绘制软件,使代替自动化中成药递送软件和靶点疗法缓解探讨。3. 膜蛋白质学习与膜能量学在膜蛋清调查中,18:0 azidoethyl PC 可以于准备效果化沙盘模型膜,实现点击事件物理绘制荧光探头或示踪原子,讲解膜蛋清与脂质双方间用途、融入到与动态信息地理分布。其物理效果化优点为膜扭矩学、膜相情况及蛋清-脂质双方间用途给出了可调實驗情况。4. 海洋生物标记图片与三维成像可以通过打开化学上联系荧光颜料或生物技术素,18:0 azidoethyl PC 可以使用于细胞核膜影像、脂质追踪定位及膜各种相关钻研。其叠氮基团给予平衡的共价标签位点,更加试验可按顺序高朝,数据信息平衡安全。


五、未来应用前景

伴随着点选化学上上的在生物体化学上上的和nm医学界中的多方面广泛使用,18:0 azidoethyl PC 在基础条件研发和广泛使用定制开发中展现什么出较大竞争力:智力制剂的载体:在脂质体或納米颗粒物接触面淡化靶向治疗团伙,进行准制剂递送。稳定膜干劲学深入研究分析:合理利用化学上绘制仿真模拟膜的环境波动,研究分析膜球蛋白及膜想关数据转导。微生物感测器器装修设计:进行面上作用化建立对坏境兴奋的光纤激光切割机的或电生物学积极地响应。脂质组学科学研究:在复杂性海洋生物样品管理单位中标记相关磷脂,做到按量和动态图关注。


六、结论

18:0 azidoethyl PC(CAS: 2342574-09-6)都是种效果化磷脂氧分子形式,依照了硬脂酸链的膜相对平稳性分析与叠氮乙基的物理几丁质酶。其特色形式使其在选择物理表达、自动化脂质体共建、膜淀粉酶的学习及微生物技术制品三维成像等前沿技木具备着广泛选用选用的价值。依据确获得与严格要求纯化,18:0 azidoethyl PC 可称脂质的学习、肿瘤药物递送及效果化膜的原装修材料定制开的发展示 可靠的渠道。随脂质效果化技木和微生物技术制品医美的学习的的发展,该氧分子形式在未来发展的自动化奈米的原装修材料、靶向药物治疗方法及膜微生物技术制品学的学习大校发挥的功效愈加关键性的的功效。山东杏彩体育平台 海洋生物给予许多种 PC(磷脂酰胆碱) 与 PE(磷脂酰甲醇胺),來源可靠的、纯度较高,不论是用来 脂质体建设、膜类别研发,依然 中成药递送与作用化纳米技术颗粒状备制,都能给予安全稳定的耐热性确保。丰富多彩的链长、过饱和度和修饰语方式,让科研开发工作人员可随着實驗意愿灵活性高确定,便捷搭个快速實驗系统。厂家直销:成都杏彩体育平台 生物技术科技十分有限新公司十分有限新公司不同的用途:科技创新情况:粉化状/粉化/饱和溶液產地:石家庄温暖信息提示:仅限研究,可以用以体内调查!关联类产品:16:0-18:0(4,5-二溴) PC,CAS:105464-30-016:0-18:0 (11-12BR) PC,CAS:324054-54-816:0-18:0 (6-7BR) PC,CAS:324054-50-416:0-18:0 (9-10BR) PC,CAS:324054-52-617:0-18:1 PC-d5,CAS:2342575-55-518:1(n10)-16:0 PC,CAS:2389048-47-716:0-18:1 Tempo PC,CAS:107576-70-5