杏彩体育平台

您当前所在位置:杏彩体育平台 > 资讯信息 > 新品上市
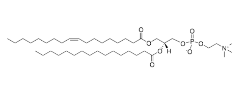
18:1-16:0 磷脂酰胆碱,18:1-16:0 PC,CAS:59491-62-2的分析与表征方法
发布时间:2025-09-05     作者:ssl   分享到:

18:1-16:0 PC,CAS:59491-62-2

18:1-16:0 磷脂酰胆碱(18:1-16:0 PC,CAS:59491-62-2)


一、基本信息

生物学称谓:1-oleoyl-2-palmitoyl-sn-glycero-3-phosphocholine缩略语:18:1-16:0 PC 或 OPPCCAS 号:59491-62-2大化学式:C₄₂H₈₂NO₈P大分子量:760.07 g/mol该大分子结构由 一款油酸链(C18:1,顺-9 单不达到趋于稳定状态) 和 一款棕榈酸链(C16:0,达到趋于稳定状态) 确认甘油骨架与磷酸胆碱头基相连接而成,是指绿色平衡型基金喂养型磷脂,是哺乳期两栖动物神经元膜最常见的大分子结构类一个。


二、分子结构与理化特征

性头基:胆碱–磷酸基团(超高亲水,带一直正正电荷)。脂肪酸酸链:sn-1 位常见为油酸(18:1 Δ9-cis),sn-2 位为棕榈酸(16:0)。顺式双键会导致链架构拉伸,塑造膜较高的纯净水性。相道德行为:与全饱和状态 PC(如 DPPC,Tm ~41 °C)相对比,OPPC 的相变化室内温度相关系数大幅度降低,通常 <0 °C,常温状态下出现传播lcd屏相。两亲性:在水能够自发性养成双重空间结构、囊泡和脂质体。溶解性性:可不溶氯仿、甲醇、氯仿/甲醇融合液;在硫酸铜溶液需运用充分石油醚预溶或超声检查分散性。


三、合成与制备路线

1. 半炼制(选用调查方式 )更改 lyso-PC 中心体:实现磷脂酶 A2 消化不良 PC(快速清理 sn-2 位脂酰),获得 1-oleoyl-lyso-PC。酰化反响:以棕榈酰氯或棕榈酸-NHS 酯为酰基供体,在温文尔雅标准下进行性酰化 sn-2 羟基,取到工作目标 OPPC。2. 全化学工业合成视频以保护区基淡化的甘油为起至,先后顺序在 sn-1、sn-2 位区别酯化油酸和棕榈酸,再经磷碱化和胆碱化响应有 OPPC。的优势:城市选性确切,好规范标准品制作而成;优点:部骤多,资金高。3. 酶促生成合理利用 lysophospholipid acyltransferase (LPLAT) 将棕榈酰-CoA 转交至 1-oleoyl-lyso-PC 上,指定点合并 OPPC。独到之处:轻柔前提条件、板块选定 性好;坏处:底物和酶成本费较高。

18:1-16:0 磷脂酰胆碱,18:1-16:0 PC,CAS:59491-62-2 

四、分析与表征方法

质谱(ESI-MS/MS):母铝离子 [M+H]⁺ m/z 760.6;结构特征觉醒石 m/z 184.07(胆碱基团),及及脂肪含量酸情节 m/z 281.2(油酸)、255.2(棕榈酸)。NMR:¹H、¹³C、³¹P NMR 查证成分;油酸双键化学上位移有特征描述走势。HPLC/LC-MS:使用反相 C18 柱转移各个 PC 原子类种。DSC:查测相改变温差,定量分析膜物理性特质。


五、生物学功能与应用价值

组织膜构造与功能表探讨混合物链 PC(过剩+不过剩)的产生对膜流通性、相分离处理和脂筏组成有极为重要不良影响。OPPC 常被做为膜模式整体组分,养成纯天然膜的冗杂性。脂质组学探讨OPPC 在血浆、内脏、脑阻止里常查出,是 脂质组学定量分析的工作目标原子核。适用维持放射性同位素标上图片的 OPPC-d(如 d9-或 d31-标上图片)作内标。肿瘤药物递送整体与固醇、PEG-脂质做好,采用脂质体和纳米级粉末提纯。不过剩链不断提高流量性,不有益于中成药移除与膜要融合。代谢率与的信号信号通路理论研究OPPC 是磷脂基础代谢中的至关重要顶点,能以为底物转换成溶血磷脂(lyso-PC)、二酰甘油(DAG)、磷脂酸(PA)等预警分子式。


六、储存与操作注意事项

意见与建议在 −20 °C 或更低 温下包存,充氮/氩气胶封,遮光儲存。盐溶液应现配所用,防止长精力裸露于废气(双键易被空气氧化)。入驻一定量*腐蚀剂(如 BHT)能增长时间动态平衡性。


七、总结

18:1-16:0 PC(OPPC)是天然细胞膜中常见的混合链磷脂,因其独特的结构(单不饱和 + 饱和脂酰链)赋予其在膜流动性、相分离和信号转导方面的重要作用。在科研领域,它广泛用于 脂质组学定量、膜物理学模型、药物递送载体设计以及代谢研究。凭借结构稳定性与生物相关性,OPPC 已成为脂质研究和应用的重要基础分子。

石家庄杏彩体育平台 生物学给出很多 PC(磷脂酰胆碱) 与 PE(磷脂酰甲醇胺),起源耐用、纯性好,不管是是适用于 脂质体创设、膜3d模型深入分析,或者是 口服药物递送与职能化nm粒子光催化原理,都能给出安稳的性能指标维护。多元的链长、供大于求度和呈现类型的,让科学人群可基于测试需求量机灵决定,解乏建造效率高测试系统。生产厂家:兰州杏彩体育平台 生态学自动化有局限装修公司的主要用途:科学形态:固态垃圾/碎末/饱和溶液生产地:武汉浪漫通知:仅限科学研究,没能用以体内实验室!相应的货品:18:1-14:0 PC,CAS:95896-56-318:0-20:4 PC,CAS:35418-59-818:0-22:6 PC,CAS:59403-52-018:0 propargyl PC,CAS:1830366-39-618:0 PC-d83,CAS:326495-40-318:0-azo PC,CAS:2098674-45-218:0 PC-d74,CAS:326495-38-918:0 azidoethyl PC,CAS:2342574-09-6