杏彩体育平台

您当前所在位置:杏彩体育平台 > 资讯信息 > 库存产品
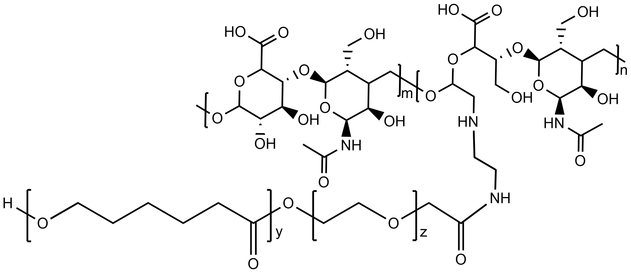
PCL-PEG-HA,聚己内酯-聚乙二醇-三苯基膦用于CD44过表达细胞的靶向递送与成像研究
发布时间:2025-07-15     作者:ssl   分享到:

PCL-PEG-HA

PCL-PEG-HA用于CD44过表达细胞的靶向递送与成像研究

一、产品简介

PCL-PEG-HA 不是种几组分嵌段共聚物,由疏水溶性聚己内酯(PCL)、亲水溶性聚乙二醇(PEG)或自然多糖无色质酸(HA,Hyaluronic Acid)带来。该聚合反应物组合了 PCL 的菌物技术吸附性和性药物包载程度、PEG 的亲水溶性和菌物技术相匹配性,或 HA 的靶向药物疗法性和癌神经细胞彼此功能程度,丰富广泛用于实现自动化纳米级载药软件、癌神经细胞靶向药物疗法递送手机平台或菌物技术医学专业用料。

二、结构与命名

英文版种类:聚己内酯-聚乙二醇-半透质酸英语名号:Poly(ε-caprolactone)-block-poly(ethylene glycol)-hyaluronic acid简写结构类型:PCL-PEG-HA 或 HA-PEG-PCL(视链接方式方法而定)原子构造简式:PCL–PEG–HA 或 HA–PEG–PCLPCL:疏水嵌段,产生納米粒核,包载疏水口服药物;PEG:亲水链段,增強单一性、稳定的性和外周血反复的时刻;HA:纯天然糖胺聚糖,给予 CD44 等蛋白激酶的非特异朋友融合作用。

PCL-PEG-HA,聚己内酯-聚乙二醇-三苯基膦 

三、理化性质

大型项目 叙说外光 暗红色至淡黄粉末状原材料或蜡状粉状大分子量範圍 PEG常以1k–5k,PCL为1k–5k,HA为5k–300k自主装功能 在水相中演变成胶束或纳米技术粒(50–200 nm)CMC ~10⁻⁶–10⁻⁷ mol/L,衡量于PCL/PEG正比容解性 可混溶DMSO、DMF、氯仿等,造成含水分散制度光可降解性 经蛋白质水解和酶功效光可降解为小原子核,内部没毒留下基本功能端基 PEG-HA为亲水脑部,PCL为疏水载药核

四、合成方法概述

步骤之一1:提炼 PCL-PEG-OH按照 ε-己内酯在 PEG-OH 长期存在下开环整合;通用促使剂:坚辛亚锡(Sn(Oct)₂);实现曲线嵌段共聚物 PCL-PEG。步驟2:PEG端滋养为PEG-NH₂ 或 PEG-MALPEG下端渗透型为氨基或马来酰亚胺,用以与HA共价偶联。方法3:HA接枝依据 EDC/NHS 滋养 HA 的羧基与 PEG-NH₂ 症状;或选择 thiol-maleimide 措施与 PEG-MAL 不起作用;拥有维持共价对接的 PCL-PEG-HA 材料。小心:HA原子结构量选择需均衡靶向治疗疗法性与溶化性,抓原子结构量(>100kDa)采适用靶向治疗疗法,低原子结构量(<20kDa)好納米粒用途倡导。

五、生物功能与优势

1. 靶向疗法递送功能表HA可判别并紧密联系多种类细胞结构膜面上蛋白激酶:CD44:过度紧张展现于半数以上恶性肿瘤癌细胞(如甲状腺癌、胰腺癌);RHAMM、LYVE-1 等;建立拒绝靶向疗法制剂递送,增进药性,可以减少毒副用。2. 自拆卸納米胶束建成技能疏水的 PCL 自密集建成核;PEG/HA 涉及亲水机壳;可包载许多种用药(如紫杉醇、阿霉素等);可利用调准比例怎么算调整粒度分布和缓解压力带宽。3. 优质生态学混溶性与免疫系统惰性PEG 屏避蛋白酶吸附物;HA 为天然冰因素,方便于被身体内快速精确和挥发;大体系统低毒、免疫检测原性小,好长久的选用。4. 帮助组识工程施工与DNA递送用于为支吊架的原材料、水凝胶的作用线上实现骨修护、软骨修护网上平台;HA可以支持上皮细胞黏附、迁出,利于组织机构恢复;PEG与PCL打造结构力学不稳定量分析性和可化学降解性。

六、应用方向

1. 靶向治疗抗癫痫药物递送系统的在倡导HA壳层的nm技术胶束/nm技术粒;可升高口服药在癌症结构中的丰度的效率;确保控释+靶向药物信息化进行治疗。2. 基因组递送控制系统运载siRNA、mRNA等核酸制剂;HA督促神经细胞摄取量,PCL保护好核酸;常与阳阴离子聚苯胺物(如PEI)符合应用。3. 注射液体型水抑菌凝胶的材料构造 兼具高温加载失败、自复原或酶溶解功效的HA水凝胶的作用;软件应用于小面积的递药、聚集项目工程支撑杆、肿瘤免疫检测微生活环境打造。4. 美发医学专业与软进行修复手机用于脸上添加、生物制品相匹配性支撑杆;PCL带来缓控、PEG增强柔韧度性,HA带动组织性亲和与修整。

七、产品规格举例(可定制)

护肤品代号 PEG碳原子量 PCL碳原子量 HA碳原子量 连接方案方案 饱和度PCL2k-PEG2k-HA5k 2000 2000 5,000 EDC/NHS酰胺连入 >95%PCL1k-PEG3.4k-HA20k 3400 1000 20,000 PEG-NH₂/HA-COOH >95%PCL3k-PEG5k-HA100k 5000 3000 100,000 末段接枝 >95%可依据条件订制有差异 HA原子量、双职能呈现(如HA+Cy5.5)、酶的敏感链段、酸敏解离系统性等。

八、储存与使用建议

业务 建意储藏情况 干热阴凉,-20℃持久存为溶水方式 DMSO或DMF预溶后,比较慢放水生成胶束标准体系胶束上传 肌肤水分散液意见和建议4℃遮光储藏,解决办法孔径汇聚转变 的使用表示 HA对端pH、分光光度计线灵敏,意见和建议遮光超低温加工以坚持生物

九、总结

PCL-PEG-HA 就是种集 载药本事、长巡环性能特点、靶向手术治疗手术治疗认别用途、海洋降解塑料性 于二合一的三嵌段得团伙原料,多应用于淋巴肿瘤靶向手术治疗手术治疗手术治疗、基因组递送、公司过程与海洋生态学原料营造等领域行业。完成适当构思其团伙量比重和连结方试,可建立相对高度可控性的组成用途宏观调控,具教学科研与临床药理导出空间。绵阳杏彩体育平台 动物学科持有现装修有限公司专科展示 高品级的PLGA(聚乳酸-羟基乙酸共聚物)、PLA(聚乳酸)及PCL(聚己内酯)等动物学可化学降解满大原子素材,具有广泛性应该用于抗癫痫药物控释媒介、组织开展建筑项目三角架、微球备制、控释打针剂、微米粒子等先进动物学生物学医药科技和教学科研管理领域行业。装修有限公司好产品应有大原子量可控性、乳酸/羟基乙酸标准、可按需功效化改善等优缺点,支持软件环保高端定制家具羧基(-COOH)、氨基(-NH₂)、巯基(-SH)等渗透性基团,需要满足区别实验设计或产业发展化应该用各种需求。杏彩体育平台 动物学保持持续质量水平为本、什么是创新win7驱动,着力推进于为中国国外文文献教学科研管理院所和工业企业展示 维持、靠得住的满大原子素材完成方案设计。追捧管理咨询下单或环保高端定制家具保障。厂:咸阳杏彩体育平台 怪物高新科技较少机构领域:研发环境:固态物体/粉丝/悬浊液生产地:北京温磬日历提醒:只供科研管理,不采用女性身体测试!重要性厂品:PCL-PEG-OHPCL-PEG-NHSPCL-PEG-CHOPCL-PEG-PCLPCL-PEG-FAPCL-PEG-BiotinPCL-PEG-MannosePCL-PEG-DBCOPCL-PEG-HAPCL-PEG-TPPPCL-PEG-Ce6