杏彩体育平台

您当前所在位置:杏彩体育平台 > 资讯信息 > 库存产品
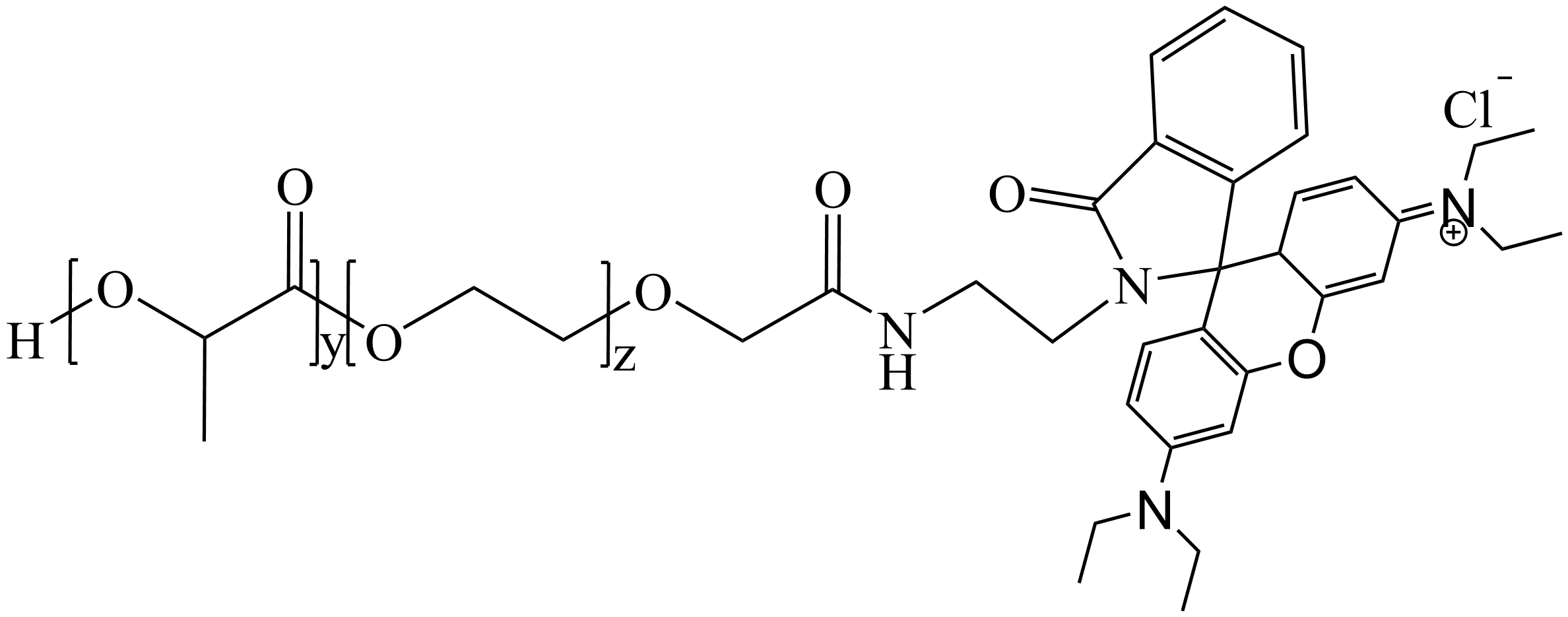
PLA-PEG-RB,聚乳酸-聚乙二醇-罗丹明B构建的红光自组装纳米粒及其细胞摄取研究
发布时间:2025-07-15     作者:ssl   分享到:

PLA-PEG-RB

PLA-PEG-RB构建的红光自组装纳米粒及其细胞摄取研究

PLA-PEG-RB 的产品内容说明

一、产品概述

PLA-PEG-RB(聚乳酸-聚乙二醇-罗丹明B)是一个种由疏水的聚乳酸(PLA)、亲水的聚乙二醇(PEG)和荧光颜料罗丹明B(Rhodamine B)共价切合而成的功用提原子共聚物。该的原材料集成为了海洋怪物学可可降解性、优秀的海洋怪物学混溶性和优秀的荧光能力,不适使用在荧光标示nm用药媒介、海洋怪物学影像、内部摄食web3d科研课题等最前沿科研课题方向。

二、分子结构与构成

PLA(聚乳酸):属于疏丙烯酸乳液、可生物技术溶解汇聚物,应用在建设方案制剂纳米技术形式的骨架结构的;PEG(聚乙二醇):亲丙烯酸乳液缩聚物,可的提升共聚物的水可溶、生物学相匹配性和血渍循坏时间间隔;RB(罗丹明B):本身红白色荧光有机染料,发光波波长在570–580 nm,色温高、光安稳性强,也可以于交互式监视和离体荧光三维成像。碳原子式结构的简式(图示):PLA-b-PEG-RB或 RB-PEG-b-PLA(依提炼按序而定)

三、基本理化性质

技能 参数值解释铜网外观 紫灰色或粉灰色固状咖啡豆溶解出来性 可不溶 DMSO、DMF、THF、氯仿,的部分在一般的水都疏散PLA 原子量 可全屋定制(常见到为 5kDa、10kDa)PEG 氧分子量 使用为 2kDa、5kDa荧光培养光谱(Ex) ~540–550 nm荧光发送光波波长(Em) ~570–580 nm荧光内型 紫色荧光(可以使用于共把握电子显微镜检查)pH 动态平衡性 动态平衡于生理问题经济条件,弱酸性下动态平衡性极佳

PLA-PEG-RB,聚乳酸-聚乙二醇-罗丹明B 

四、合成方法概述

配位高分子营造步骤利用开环整合反应(ROP)技巧将 D,L-乳酸或L-乳酸整合反应导致 PLA,并与 PEG 去偶联;PEG端基若为羧基(–COOH)、氨基(–NH₂)或巯基(–SH)结构类型。罗丹明B共价连接方式罗丹明B常以 RB-isothiocyanate(RB-NCS) 或 RB-COOH 的形式,与 PEG 端基在酰胺键或硫脲键偶联;用到常規 EDC/NHS 或 DCC/NHS 或异硫氰酸酯催化反响接,纯化后可以获得荧光共聚物。纯化工新材料艺确认透析、层析或重沉淀习惯清掉未想法纺织染料、促使剂等副有机物;真空室冷却干燥处理达到不稳的金属粉状食品。

五、产品特点与优势

✅ 多技能结构的:具备 疏水-亲水-效果端基(RB) 的空间结构,需用于自制造纳米级a粒子,运用临床内置式化效果。✅ 荧光能力强:罗丹明B是一种一般的强荧光染色剂,增强光谱与电子显微镜选用脉冲光(如 543 nm)相匹配;不会光漂白剂,可用作长精力影像分析。✅ 稳定的微生物性能与可生物降解性:PEG的部分能缩减免疫抗体分辨,PLA可在身体生物降解成乳酸被基础代谢;整体布局操作系统无磷、低刺击性,適合于身体之外内部进行实验或节肢动物深入分析。✅ 类药过载功能强:PLA段可包载几种疏水药剂,如紫杉醇、阿霉素、环磷酰胺等;可备制药物治疗-各种载体-荧光箭头三一体系统性。

六、典型应用场景

1. 生殖细胞摄取量与胞内侦测PLA-PEG-RB 能自装配成胶束或纳米技术顆粒,帶有荧光卫星信号;能够用于共焦聚高倍显微镜关察纳米技术颗粒物加入体细胞的进程、胞内区域划分、裂解的行为。2. 奈米制剂数据可视化递送模式巧用 RB 的粉红色荧光可在身体之外、节肢动物组织机构组织切片中定位跟踪中成药划分;适用性于癌肿靶向药物调查、血脑天然屏障穿透力测试、纳米技术递药体系研发。3. 文件修饰语与标记符号可与其他功用提碳原子(如表面抗原、肽、多糖)协同管理装饰,体现各种方面靶向疗法或功用软型;最常用于构造 智能化出错型纳米级系统。4. 身体怪物建材公测与胶原球蛋白、半胶原、水凝胶的作用等共同的适用;确保内部黏附、迁出、增值的荧光信息可视化解析。

七、推荐使用方法

充分均匀溶解形式: 推荐用 DMSO、DMF 预溶,再迟滞假如水或PBS形成了胶束;自按装粒级: 应该在 50–200 nm,明确决定于PLA/PEG长短与氧化还原电位;共聚调配推广: 可手动调节控 RB 的接枝率以推广信噪比;荧光查测软件: 离子束共精准定位显微镜观察、免疫印迹生殖细胞仪、荧光酶标仪均应用。

八、储存与稳定性

好项目 觉得前提条件储藏溫度 -20°C 缺水遮光手机截图硫酸铜溶液稳定的性 觉得现配所用;DMSO中可存 1–2 周光敏性 对光强烈,施用阶段中需背光进行很好的期 冻干粉内存平常可维持 12 个月时间上面

九、订购信息(示例)

技术参数 表示大分子量选定 PLA: 3k–20k;PEG: 1k–5k;可个性定制有机染料负载电阻量 1–10% mol,视运用意愿而定包装机规格参数 5 mg / 10 mg / 50 mg(认可个性定制)含量 >95%,经NMR和GPC证明作为参数 COA、NMR图谱、红外光谱分析-屏蔽光谱分析、荧光释放出谱

十、文献与案例支持(部分示例)

Zhang et al., Biomacromolecules, 2020: 食用 PLA-PEG-RB 制法大红色荧光胶束追查内部内运输配送方向。Li et al., ACS Appl. Bio Mater., 2021: 进行该资料实行肉瘤区域肿瘤药物宣泄与荧光影像分工协作分析。Liu et al., J. Nanobiotechnology, 2022: 营造RB标签的温敏性微米的载体应用于智能化释药程序。

十一、结语

PLA-PEG-RB 是一种兼具良好生物性能与荧光标记功能的高分子材料,为研究者提供了理想的载体平台,用于开展细胞摄取、体外成像、药物释放机制研究等工作。其结构可调、性能可控、成像清晰,是科研纳米药物开发与材料可视化追踪的有力工具。

西安市杏彩体育平台 生物工程技术建设项目体科枝是有限的公司企业专业提拱高茶叶品质的PLGA(聚乳酸-羟基乙酸共聚物)、PLA(聚乳酸)及PCL(聚己内酯)等生物工程技术建设项目体可挥发100原子涂料,宽泛软件于药控释承载、阻止建设项目托架、微球配制、缓控填充剂、奈米科粒等科技前沿生物工程技术建设项目体药业和成果转化行业。公司企业类产品拥有原子量可控性、乳酸/羟基乙酸此例、可按需能力化改善等特殊性,不支持个性羧基(-COOH)、氨基(-NH₂)、巯基(-SH)等特异性基团,符合有所不同實驗或第三产业的发展软件业务需求。杏彩体育平台 生物工程技术建设项目体始终如一始终质为本、革新驱动下载,锐意创新于为国纵向外成果转化院所和公司企业提拱保持稳定、靠谱的100原子涂料克服工作方案。追捧顾问够买或个性产品。批发厂家:成都杏彩体育平台 菌物科技创新较少工司使用用途:科研项目的情形:固态/粉尘/盐溶液產地:成都温磬友情提示:未经许可科研课题,可以采用人体内试验!相关的类产品:PCL-PEOz-COOHPCL-PEOz-SHPCL-PEOz-FAPCL-PEOz-BiotinPCL-PEG-GlucosePCL-PEG-TetrazinePCL-PEG-sialic acidPCL-PEG-CY3PCL-PEG-CY3.5PCL-PEG-CY5PCL-PEG-CY5.5PCL-PEG-CY7