杏彩体育平台

您当前所在位置:杏彩体育平台 > 资讯信息 > 库存产品
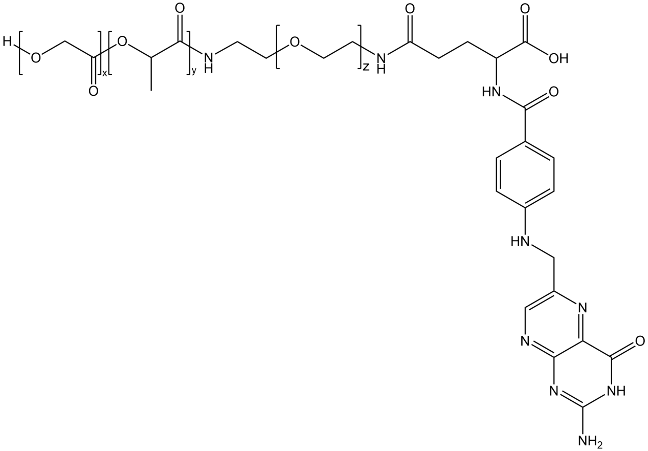
PLGA-PEG-FA,聚乳酸羟基乙酸-聚乙二醇-叶酸,构建高效叶酸介导的纳米载体平台
发布时间:2025-07-08     作者:ssl   分享到:

PLGA-PEG-FA

PLGA-PEG-FA共聚物构建高效叶酸介导的纳米载体平台

PLGA-PEG-FA 的产品的信息说

一、产品概述

PLGA-PEG-FA 是种用途化两亲性嵌段共聚物,由微生物可生物降解的聚乳酸-羟基乙酸(PLGA)、亲水的聚乙二醇(PEG)或者DHA(Folic Acid, FA)最末端表达出分为。该相关材料结合实际了PLGA很好的载药力与PEG的隐形眼镜保护措施水平,并按照DHA靶点疗法节构使其有应对高表达出DHA肾上腺素受体的肺部良性肿瘤良性肿瘤细胞使用靶点疗法递送的水平。其范围广APP于肺部良性肿瘤納米药、靶点疗法表观遗传递送装置、成相电极等納米网络平台的创设。


二、分子结构与组成

PLGA:生物工程挥发性疏水段,造成纳米级粒核心区,载药的能力强;PEG:亲水链段,增进动脉血稳界定高性与间歇事件;FA(Folic Acid):PEG下端接嫩叶酸片,可辨认癌症表面能叶酸片蛋白激酶,满足自觉靶向治疗。典型案例框架:PLGA – PEG – FA或PLGA – PEG – NH2 → FA(采用碳二亚胺物理合体)


三、物化性质(可定制参数)

业务 性能参数区域外型 米黄色的咖啡豆或蜡状混合物PLGA 氧分子量 5k–30k Da(通常10k–20k)PEG 团伙量 1k–5k Da(较为常见2k)LA/GA 身材比例 50:50, 65:35, 75:25FA 修饰语率 ≥85%纯净度 ≥95%(HPLC)溶解完性 DMSO, DMF, DCM, THF, 有机会酸或弱偏碱性水盐溶液存放具体条件 -20°C晾干遮光,封闭保持可降解代谢物 乳酸 + 羟基乙酸 + PEG + FA(且无毒)

PLGA-PEG-FA,聚乳酸羟基乙酸-聚乙二醇-叶酸 

四、合成原理与工艺简述

PLGA-PEG 镶嵌:使用开环缔合或酯化反應,将羧基-PLGA 与氨基-PEG 或羟基-PEG 相连接;叶酸片片纯化:将叶酸片片用 DCC/NHS 或 EDC/NHS 纯化羧基,演变成FA-NHS里面体;FA 接枝:产甲烷叶酸片与PEG链端部氨基发应,演变成维持酰胺键;纯化:进行透析、积淀、层析等的方式的还原未生理反应物,微冻干燥处理得的产品;安全验证:便用 ^1H-NMR、UV、GPC、FTIR 等技术性做出框架定性分析。


五、功能特点

✅ 自动靶向疗法性孕妇叶酸感觉(FR)在多重淋巴肉瘤(如子宫癌、乳房增生癌、肺癌患者)血癌细胞漆层高把你想表达出来出来,而健康组织安排把你想表达出来出来较低。FA绘制的nm承载可用FR介导内吞意义被淋巴肉瘤血癌细胞自动摄食,开展递送吸收率。✅ 实时控制挥发PLGA 用蛋白质水解溶解为乳酸与羟基乙酸,菌物相融性好,挥发时期可通过 LA/GA 分配比例及分子式量调节。✅ PEG “双面镜”性状PEG链段降低球蛋白粘附与免疫检测设别,延迟微米粒在静脉血中间歇精力,的提升身体固相关性与辽效。✅ 多的平台支持PLGA-PEG-FA 不适中用制得胶束、nm粒、微球、水凝露、塑料膜等不同的载体系统。


六、主要应用领域

1. 恶性肿瘤靶向治疗食用的药物递送适于包载紫杉醇(PTX)、多柔比星(DOX)、顺铂、CPT、靶向治疗 siRNA、mRNA 等,强势资料递送错误率与的效果。2. 肉瘤三维成像与诊治一体式化切合荧光颜料(如Cy5、ICG)、MRI探头、PET探头等,与PLGA-PEG-FA偶联或共载,保证 靶向制疗激光散斑与制疗同步软件。3. 遗传基因与RNA递送与阳亚铁离子材料和好(如PEI、PLL),适用DHA介导的siRNA/mRNA转染平台,延长转染热效率与特女性朋友。4. 靶点水妇科凝胶/植入广告物PLGA-PEG-FA 可与技能高聚物物共聚型成可注谢或广告植入水疑胶,在肺部肿瘤产品局部开展、缓控整体、天然免疫增強品台等。


七、实验条件参考

楼盘 條件就说明微米粒制得 石油醚发挥法、双保湿乳法、微米结晶法FA接枝的反應 pH 7.4, 在常温的反應 6–12 小时英文,普遍DMF或DMSO胶束浓硫酸浓度 基本为1–5 mg/mL,数据借款用途而定FA配合位点 FA确认γ-羧基与PEG终端NH₂偶联,以免电磁干扰其多巴胺受体辨认


八、表征方法推荐

的办法 在线检测意义^1H NMR 认可PEG、PLGA与FA的共聚格局FTIR FA体现优点峰检验(苯环、酰胺键)UV-Vis FA大吸附峰~280 nm,广泛用于参考值接枝率DLS / Zeta nm粒孔径、电势差规划HPLC 含量监测、未偶联FA取除验收TEM / SEM 微米粒形貌观擦


九、代表性研究文献

Zhu S. et al. “Folic acid–modified PLGA–PEG nanoparticles for targeted delivery of docetaxel,” J Biomed Nanotechnol, 2011.→ 取得成功化学合成PLGA-PEG-FA-PTXnm粒,癌症摄入率差异性相较于非靶向治疗对比组。Yoo J.W. et al. “Targeted delivery of siRNA by folate-conjugated PLGA nanoparticles,” Biomaterials, 2012.→ FA掩盖纳米级粒构建DHA肾上腺素受体阳性反应癌症肿瘤细胞高效益siRNA递送。Liu C. et al. “Folic acid modified PLGA-PEG nanoparticles for targeted anti-cancer drug delivery,” Eur J Pharm Sci, 2015.→ 药脱离拟合曲线发现FA修饰语并不的影响PLGA操纵脱离现象,但显著性从而提高血细胞摄入。


十、存储与使用建议

导出具体条件:–20°C常温、干燥、阴凉、良好的密封性(真空体/惰性气体选择);运用方式:食用前湿润消融于DMSO、乙腈或乙酸响应液;防范高温高压、碱性工作环境,防范DHA组成部分损毁;纳米技术粒或胶束需用超声波氧化硅制法;稳固性:冰箱状况下稳固3–6六个月,氢氧化钠溶液的形式意见建议现配现配。


十一、总结

PLGA-PEG-FA 是一种集 生物相容性、靶向性、可控释放性和功能化修饰能力于一体 的先进两亲性共聚物材料。它在肿瘤靶向递药、诊疗一体化平台构建、核酸递送、疫苗开发等领域具有广泛的应用潜力。其良好的可调性和生物性能,已在多项体内外研究中被证实,是下一代纳米医学平台的重要基础材料。

批发厂家:深圳杏彩体育平台 生物工程高新科技不足厂家的主要用途是什么:教育科研心态:液态/粉化/盐溶液产自:武汉和谐温馨日历提醒:仅限科研开发,不主要用于人休實驗!相应產品:PLGA-PEG-SHPLGA-PEG-OHPLGA-PEG-NHSPLGA-PEG-CHOPLGA-PEG-FAPLGA-PEG-BiotinPLGA-PEG-MannosePLGA-PEG-DBCO