杏彩体育平台

您当前所在位置:杏彩体育平台 > 资讯信息 > 库存产品
PLGA-FITC,聚乳酸-羟基乙酸-异硫氰基荧光素,共聚物助力药物释放与生物过程实时监测
发布时间:2025-07-04     作者:ssl   分享到:

PLGA-FITC共聚物助力药物释放与生物过程实时监测

PLGA-FITC 产品信息介绍

一、产品概述

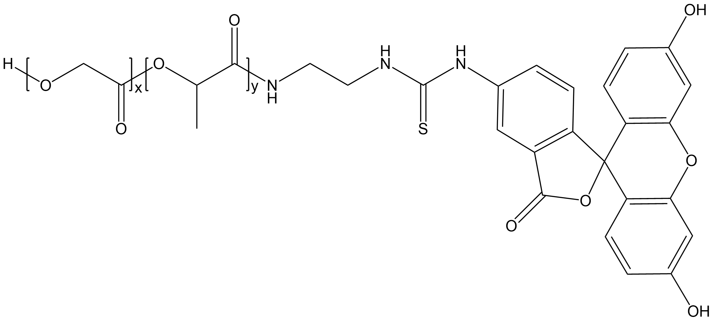
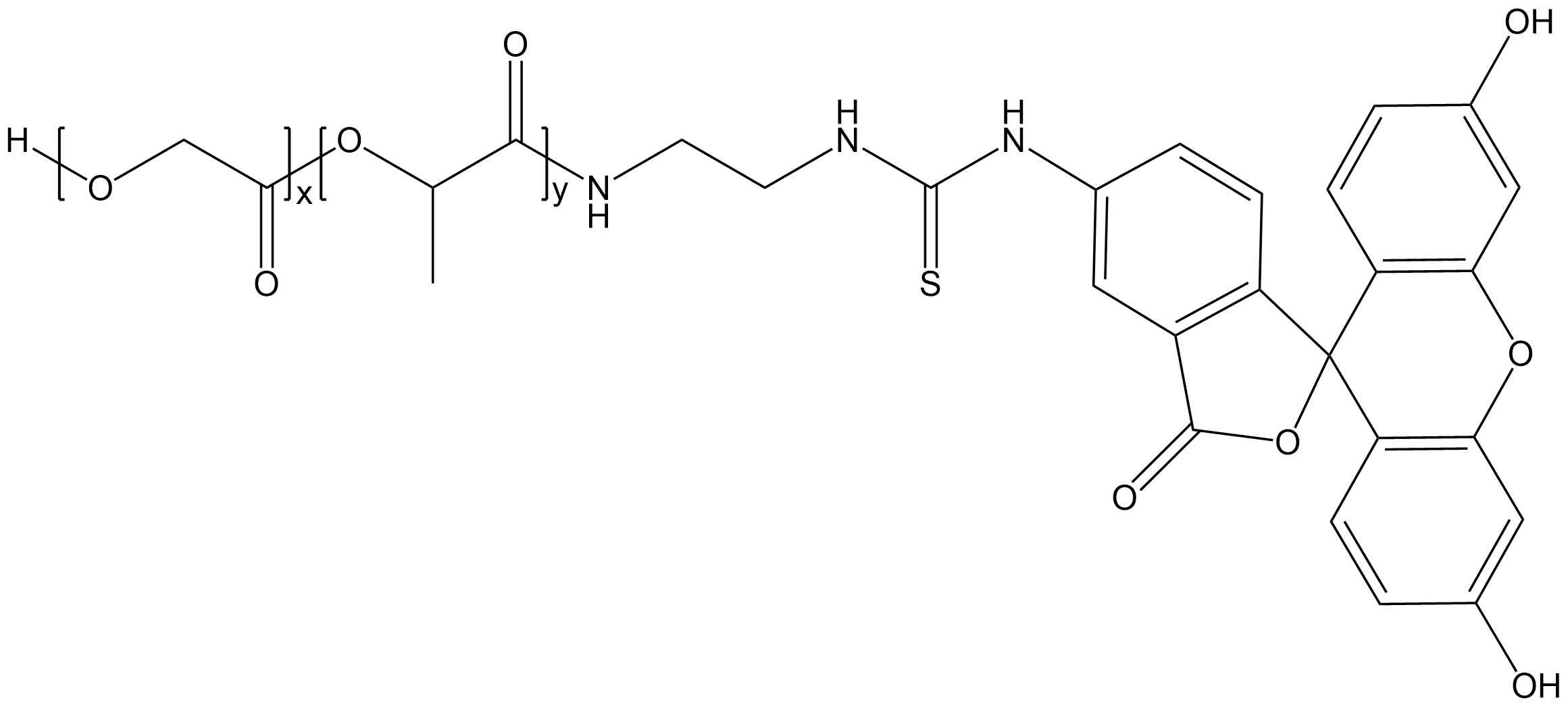
PLGA-FITC是确认将聚乳酸-羟基乙酸共聚物(PLGA)与荧光素异硫氰酸酯(FITC)共价偶联制作而成的功能表化比较高的分数子材质。PLGA算作属于多使用于生态学医疗仪器业务层面的生态学光光降解塑料比较高的分数子材质,应有着高品质的生态学混溶性和闭环光光降解塑料效果,多使用于药品治疗递送、组织机构建筑工程、納米材质制作等业务层面。FITC是属于特别的蓝色荧光染色剂,应有具有的荧光表现和充分的光平衡性。PLGA-FITC依照了PLGA的生态学光光降解塑料性质和FITC的荧光效果,使其在細胞成相、内动态展示监测系统及药品治疗递送等研发中能够多使用。

二、分子结构与组成

PLGA-FITC的基本点结构的以及:PLGA主链:由乳酸(PLA)和羟基乙酸(PGA)依据开环聚合反应产生,碳原子量一般性为5,000至50,000 Da,乳酸与羟基乙酸的比列(如50:50、65:35、75:25)可变控资料的吸附浓度及力学结构能力。FITC箭头:荧光素异硫氰酸酯使用其异硫氰酸基与PLGA的终端氨基、羟基或羧基等官能团共价运用,产生可靠的化学上键。此空间结构提高了PLGA的可溶解和生物制品技术应急性,同时体现板材明显且相对稳定的环保荧光警报,方便于在生物制品技术模式中去web3d关注。

1.pngPLGA-FITC,聚乳酸-羟基乙酸-异硫氰基荧光素

三、理化性质

性 表示金属机身 绿化荧光的粉尘或溶液氧分子量 定做依据通常情况为5,000-50,000 Da乳酸/羟基乙酸配比怎么算 许多配比怎么算可以(50:50、65:35、75:25)溶解出来性 溶解于二氯甲烷气体、DMF、DMSO等有机的容剂荧光功能 激起光谱约490 nm,散发光谱约520 nm,浅绿色荧光猛烈分解塑料优点 PLGA链凭借酯键油脂水解分解塑料,从而物质为乳酸和羟基乙酸,均为无磷小分子结构

四、功能特点

生物学吸附性:PLGA保证建筑材料在体中就能可靠吸附,无持久积淀风险隐患。平衡的荧光讯号:FITC的共价根据保护荧光原子不会轻易掉下来,讯号牢固平衡。多技能承载APP:PLGA-FITC需用于分离纯化微米粒、微球、贴膜等多个的材料体型。方方便细胞核和里面探测:绿色的荧光方方便合理利用荧光体视显微镜、共凝焦体视显微镜及里面三维成像产品做出评估。艺浏览器兼容性强:可适用人群于精华液法、奈米沉淀自己法、盐溶液聚违法等多个制法技术应用。订做机灵:分子式量、乳酸/羟基乙酸比例怎么算及FITC标志量可基于供给调控。

五、主要应用领域

1. 细胞膜显像及药品递送跟踪通过PLGA-FITC分离纯化的納米粒或微球可使用内部核摄食、内吞及内部核内运输物流的实时更新观擦,帮助到解释药品平台的内部核扭测力的行为。2. 体内的食用的药物气流输送操作系统监测数据经过荧光激光散斑技术性,追踪定位PLGA-FITC媒介在里面的布局、消化吸收与挥发,提高制剂递送攻略和媒介设汁。3. 组织化项目及海洋生物材料标出标上PLGA基固定架的原材料,变现公司性清理操作过程中的动态化监测系统及光降解做法探析,加快公司性机体再生探析。4. 荧光感知与查测切合FITC的荧光特质,研发生物学感应器器及反应式膜蛋白,保持皮肤疾病标志logo物检查测量及靶向药物减少。

六、制备工艺

PLGA制成:所采用乳酸和羟基乙酸的开环聚合反应,控制团伙量和聚己内酯此例。FITC偶联:用PLGA尾端官能团(如氨基、羧基)与FITC的异硫氰酸基反响,构建平衡共价键合。纯化:凭借透析、析出和柱层析删去氧化钙含量FITC及沉淀物。低温环境皮肤干燥与另存:急冻低温环境皮肤干燥,闭光低温环境另存以防护荧光性能方面。

七、表征方法

核磁震动(¹H NMR):核对PLGA的结构及FITC偶联症状。傅里叶更换红外光谱图(FTIR):手机验证官能团及共价键产生。妇科凝胶融于色谱(GPC):分子式量及多乳状液性分析。紫外光-因而光谱仪(UV-Vis):查重FITC的特征汲取峰。荧光光谱仪:法测定增加和发射成功光的波长,荧光效果。荧光光学显微镜及共整合光学显微镜:了解组织摄入及规划。动态化光散射(DLS):納米粒度及占比。

八、使用与保存注意事项

补充后要遮光、地下室防潮,恒温的下一定遮光保留,比较适合4℃或-20℃冷藏柜保留。工作的时候应该戴半指手套和护目,规避就直接玩和吸气。液体的选择非常适合DMF、DMSO等无机液体,减少电离现象。便用时建意鲜活调配,应对长事件暴露自己于照明出现荧光减低。实现厂品有用期间应用,加强组织领导荧光及涂料的性能增强。

九、相关文献参考

“Synthesis and characterization of PLGA-FITC nanoparticles for drug delivery and imaging”,Journal of Biomedical Materials Research,2016,104(7): 1655–1665。“Cellular uptake and intracellular trafficking of PLGA-FITC nanoparticles”,International Journal of Nanomedicine,2018,13: 4457–4470。“In vivo tracking of PLGA-FITC nanoparticles in drug delivery systems”,ACS Applied Bio Materials,2020,3(6): 3628–3637。

十、总结与展望

PLGA-FITC融合了PLGA的生物降解优势和FITC的优良荧光性能,为生物医药研究提供了强有力的工具。其在细胞成像、体内追踪和药物递送领域显示出广泛的应用潜力。未来,随着纳米医学和医疗的发展,PLGA-FITC有望结合靶向修饰和智能响应功能,推动更高效、更安全的诊疗技术进步。

上海杏彩体育平台 海洋生物工程施工技术科技全新有现集团的施工专业提高高的品质的PLGA(聚乳酸-羟基乙酸共聚物)、PLA(聚乳酸)及PCL(聚己内酯)等海洋生物工程施工技术可降解塑料提氧碳原子物料,广泛的软件于药剂控释形式、策划 施工托架、微球光催化原理、缓控注谢剂、納米颗粒剂等研究海洋生物工程施工技术医疗机械和科技研究开发研究方向。集团的物料应具氧碳原子量闭环、乳酸/羟基乙酸比例图准确、可按需功能模块化改性用料等共同点,认可订制羧基(-COOH)、氨基(-NH₂)、巯基(-SH)等活性酶类基团,充分满足有所差异调查或制造业化软件需要。杏彩体育平台 海洋生物工程施工技术始终如一持之以恒质理为本、全新驱使,坚持创新驱动于为目前中国外科技研究开发院所和企业提高动态平衡、准确的提氧碳原子物料搞定计划。诚邀质询预订或订制服务管理。有关產品:PLA-PEG-NH2PLA-PEG-MALPLA-PEG-COOHPLA-PEG-N3PLA-PEG-PLAPLA-PEG-SHPLA-PEG-OHPLA-PEG-NHS