杏彩体育平台

您当前所在位置:杏彩体育平台 > 资讯信息 > 库存产品
PCL-PEG-MAL在构建多功能纳米递送系统中的关键作用
发布时间:2025-07-04     作者:ssl   分享到:

PCL-PEG-MAL

PCL-PEG-MAL在构建多功能纳米递送系统中的关键作用

PCL-PEG-MAL(Polycaprolactone-block-Polyethylene glycol-Maleimide)产品信息介绍

一、产品简介

PCL-PEG-MAL 是一种嵌段共聚物型功能高分子材料,由疏水性的聚己内酯(Polycaprolactone, PCL)和亲水性的聚乙二醇(Polyethylene glycol, PEG)通过化学方法连接而成,并在PEG末端引入一个马来酰亚胺(Maleimide, MAL)官能团。这一结构使其既具备良好的生物可降解性和自组装能力,又兼具生物正交反应活性,广泛应用于药物递送、生物材料功能化、靶向系统构建、诊疗一体化平台开发等领域。


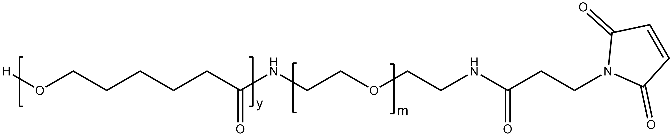
二、分子结构组成

PCL-PEG-MAL 的最基本成分如下所述:PCL–PEG–MALPCL:疏水聚己内酯段,塑造自装设本事和可控性光降解性;PEG:亲水聚乙二醇段,提升自己水阴离子型、生物技术相融性和巡环时期;MAL:马来酰亚胺官能团,可与巯基(–SH)便捷、专业、稳定性高地偶联建立硫醚键。最常见大分子量调试如:PCL 2000–5000 DaPEG 1000–5000 Da具体情况可自定义不一样的链长及官能团比热容。

1.png

三、理化性质

項目 讲述或结果分子式组成 PCL–PEG–MAL分子式量依据 多见 3k–10k Da外在 白或淡茶色蜡状粉状容解性 可混溶THF、DMSO、DMF、氯仿、乙腈等水可溶 PEG段越长,水可溶越高溶点(Tm) PCL段:~60°C;PEG段:~50–65°C能力性端基 马来酰亚胺(对–SH特异)化学分解性 PCL段海洋生物可化学分解


四、功能优势

✅ 生物学可可光降解性强:PCL可被身上酯酶水解反应为ε-己内酯,非常适合在校园营销推广活动的环节之中所构建暂时可光降解型材规格料。✅ 生物学正交几丁质酶高:马来酰亚胺(–MAL)与巯基(–SH)的反应迅猛、选用性强,可用于偶联肽类、抵抗能力、球蛋白、中成药或其他修饰语分子式。✅ 构成控制:嵌段总长、未端基团、官能度可手动调节控,可应用在不一样供给的场景。✅ 自制做水平:PCL-PEG-MAL可在水相自制做生成胶束或微米离子,符合用做载药或检测器预包装。✅ 良好的相溶性:PEG提高自己含水分散性,减低非非特异聊天球蛋白吸收,延迟反复的时期。


五、应用方向

5.1 性药物递送操作系统(Drug Delivery)自拆装确立核心内容-壳层nm粒(micelles/nanoparticles),PCL段为药物剂量储库;PEG壳层保证血管安全稳相关性;MAL端可偶联靶点配体(如cRGD、Herceptin精彩片段)或示踪测试探针(如FITC-SH、Cy5.5-SH)。✅ 用于于疏水中成药如紫杉醇、环孢素、阿霉素等递送;✅ MAL体现后可靶向方法单一肿癌或細胞肾上腺素受体,增加方法能力。5.2 微米检测器和分子结构检查将 PCL-PEG-MAL 与含巯基的荧光原子核、MRI测试测试电极、光热测试测试电极等共价融合,构造 基本功能适合奈米测试测试电极;保持靶点三维显像、诊疗规范三合一、多模态三维显像等利用。5.3 动物材质面上修饰语PCL-PEG-MAL 镀层可以用于掩盖之架建筑材料、塑料表明、奈米粒、微球等;MAL基团常用于偶联系统肽如RGD、IKVAV、YIGSR等,自我调节体细胞附着、植物的生长与差异性;软件于公司工业吊架、先天之精管吊架、感觉神经管、生物体调节器器等。5.4 几组分水抑菌凝胶倡导PCL-PEG-MAL 与多巯基整合物或核高蛋白交连,整合温敏、光敏、水抑菌凝胶网格;使用于药品控释、3D细胞系培养教育、智能化的材料等。


六、常用偶联条件(MAL与–SH)

该项目 经济条件个人建议液体pH 6.5–7.5(碱性微偏酸,以免MAL油脂水解)的反应期限 室内温度下 1–4 每小时只能有机溶剂 水、PBS、HEPES 或 DMSO /水混合式管理体系考虑情况说明 预防巯基腐蚀或MAL吃太多带来副想法


七、制备与使用建议

消融进行处理:应用前可在THF、DMSO等溶液中消融,可辅助的热温(40–50°C)以加快速度消融;纯化手段:超链接偶联后选用透析(MWCO 3.5K–10K)弄掉未现象物;吸收因素:太干、阴凉、–20°C保存文档,MAL结构的尽量不要与水、胺、酸性影响;减少钝化物:巯基偶联检测前能加DTT或TCEP预治理 清掉钝化物物品。


八、典型文献应用

“Functionalized PCL–PEG–MAL micelles for targeted chemotherapy”J. Controlled Release, 2018, 286: 354–364→ 整合 PCL-PEG-MAL 药物剂量胶束,并与cRGD肽偶联,改善癌症靶向疗法性。“Self-assembled nanocarriers via thiol-MAL reaction for dual-drug delivery”Biomacromolecules, 2020, 21(3): 1100–1112→ 充分利用MAL与硫淡化类药物进行共价奈米粒,建立信息化递送。“Multifunctional PCL–PEG–MAL scaffold for nerve regeneration”ACS Applied Materials & Interfaces, 2021, 13(4): 4967–4978→ 能够MAL端偶联面神经末梢营养摄入肽增强面神经末梢电气支架的原材料的怪物灵活性。


九、产品订购信息(参考)

货产品名号 碳原子量(PCL/PEG) 官能团 含量 样式PCL₂₀₀₀-PEG₂₀₀₀-MAL 2k / 2k MAL >95% 固状 / 液體PCL₅₀₀₀-PEG₅₀₀₀-MAL 5k / 5k MAL >95% 无水硫酸铜 / 液體可私人定制:星型的结构、多官能PCL-PEG-MAL、PCL-PEG-MAL-FITC 等。


十、总结与前景

PCL-PEG-MAL 凭借其生物可降解性 + 自组装能力 + 马来酰亚胺生物正交活性,已成为功能性聚合物设计的重要模块。该材料的广泛适应性和结构可控性,为其在药物递送、生物标记、靶向治疗、智能材料、组织工程等前沿交叉领域提供了广阔的应用空间。

近年来免疫检测开展、納米防疫针、智能化建材的开发,PCL-PEG-MAL做可工作表化的条件骨架建材,将在新一带納米中药和多工作表怪物建材制定中充分发挥越多越要素的效果。浙江杏彩体育平台 动物技术高新科技有限制集团单位专业性展示 高质质量管理的PLGA(聚乳酸-羟基乙酸共聚物)、PLA(聚乳酸)及PCL(聚己内酯)等动物技术可吸附好的成绩子建材,广软件于药材控释媒介、单位建设项目固定架、微球分离纯化、缓凝填充剂、nm粒子等前沿性动物技术怪物制药和研究项目方向。集团单位產品应具原子量闭环、乳酸/羟基乙酸比重、可按需功能表化改善等亮点,帮助来样加工羧基(-COOH)、氨基(-NH₂)、巯基(-SH)等活力性基团,满足需要有差异 调查或工业化软件标准。杏彩体育平台 动物技术要自始至终始终质量管理为本、创新发展安装驱动,锐意创新于为全球外研究项目院所和厂家展示 平稳、靠普的好的成绩子建材处理好方案范文。热情接待联系预订或来样加工产品。涉及到食品:PLGA-PEG-CY5PLGA-PEG-CY5.5PLGA-PEG-CY7PLGA-PEG-CY7.5PLGA-PEG-RBPLGA-PEG-TRITCPLGA-PEG-PBAPLGA-PEG-HydrazidesPLA-COOH