杏彩体育平台

您当前所在位置:杏彩体育平台 > 资讯信息 > 库存产品
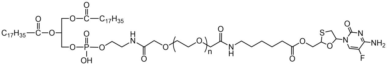
​DSPE-PEG-恩曲他滨恩,​磷脂-聚乙二醇-恩曲他滨,恩曲他滨功能化脂质载体
发布时间:2025-06-26     作者:ssl   分享到:

DSPE-PEG-恩曲他滨恩曲他滨功能化脂质载体

货产品各称称:DSPE-PEG-恩曲他滨因为公司名称:1,2-Distearoyl-sn-glycero-3-phosphoethanolamine-polyethylene glycol-Entecavir别号:DSPE-PEG-Entecavir装饰脂质、DSPE-PEG-ETV原子核量:约4000-7000 Da(会按照PEG链高度和恩曲他滨原子核量变化)外观专利:白至淡淡的黄色色粉化或冻干粉水解性:溶水DMSO、甲醇、工业乙醇等生物碳稀释剂,海里呈橡胶胶体部分发散模式存贮的条件:–20℃阴凉干燥的储存含量:≥95%(利用HPLC和质谱认定) 

二、结构组成与功能特点

1. DSPE脂质个部分DSPE(1,2-二硬脂酰-sn-甘油-3-磷脂酰乙酸乙酯胺)为高饱合脂肪的酸链的磷脂,有着优等的膜融入性能参数和生物工程混溶性,所用作脂质体共建的地基酚类化合物;其固定的脂质双重节构为纳米技术平台提高积极的机械性固定义。2. PEG链这部分聚乙二醇(PEG)链一样 为2000 Da作用,增强脂质分子式的水阴离子型和平衡性;PEG链很好以避免平台面上蛋清质溶解,不断增加奈米平台的内部间歇期限,改善菌物相匹配性。3. 恩曲他滨(Entecavir)的部分恩曲他滨是临床药理上经常用的抗乙型肝病病毒样本(HBV)核苷类倒转录酶抑止剂;借助共价拼接玩法将恩曲他滨体现于DSPE-PEG氧分子最末端,保证其与脂质体质粒载体的运用;体现脂质纳米技术平台抵抗砒霜物功能性,兼有靶向药物输送带及缓控作用。

DSPE-PEG-恩曲他滨恩,磷脂-聚乙二醇-恩曲他滨 

 




三、理化性质

主要参数 就说明团伙量 约4000-7000 Da(数据PEG链长宽及装饰)美观 黄白色至淡黄色粉化或冻干粉分解性 可互溶DMSO、甲醇、酒精等有机肥料溶液,清水中发散饱和度 ≥95%(HPLC及质谱证实)存储因素 –20℃背光、吹干上传 

四、产品特点与优势

1. 双向功能模块的脂质nm形式多组分切合DSPE脂质的膜容合和PEG链的呵护反应,保证平台增强与较好海洋生物相融性;载药原子核恩曲他滨进行淡化脂质最末端,增长中成药的载入利用率和定位功能靶向药物性。2. 抗乙型肝炎疫情吸附性恩曲他滨看做优质抗乙肝病毒类药,兼具有效率克制HBV复刻水平;采用脂质媒体递送,保证 药品缓控和高斯模糊高质量浓度宣泄,的提升调理使用效果。3. 优良的生物技术混溶性与安全保障性DSPE-PEG骨架及PEG链缓和食用的药物在自身的平衡性与区域划分,少免疫细胞系统性区分;膜蛋白符合非常好的生物学吸附性和低渗透性。4. 节省时间的納米脂质机制备该商品可与其他的脂质成分共混,不方便准备特殊脂质体及nm粒;绘制的恩曲他滨可进行积极参与脂质膜的安装,简化法载药具体步骤。 

五、应用领域

1. 抗乙肝两对半病原体脂质奈米承载使用创建DSPE-PEG-恩曲他滨装饰脂质体,确保抗乙肝炎宏病毒药材的靶向药物递送和控释保持;强化口服药在肾脏器官皮肤部位的掌握和治愈功效,减轻系统化性副功能。2. nm口服药递送模式理论研究用在开发技术最新型脂质基身体毒物物的载体,科研其在身上匀称、疗效及安会性;探求相结合靶向治疗配体的多能力脂质nmapp。3. 肝癌关联制剂改善最为乙肝癌毒病毒抵抗疾病砒霜物递送媒体,用到慢牲乙肝癌毒病毒等相关联肝癌治療理论研究;扶持抗癫痫药物协同管理递送设备的整合,提升自己见效。 

六、使用建议

1. 充分均匀溶解与存储推荐 充分均匀溶解于DMSO、甲醇或工业乙醇等无机相转移催化剂中,应对继续水氢氧化钠溶液永久保存;存储于–20℃闭光粗糙坏境,必免分解的和化学活化丟了。2. 脂质体质备与其他的脂质(如DSPC、蛋白质等)按应当正比共混,按照保护膜水化法、微流控法或mri法制建设备脂质体;调节管控成份推广肿瘤药物载入率及孔径地理分布。3. 休外及体里进行实验个人建议基于具体的实验性市场需求,考虑适合自己的光催化原理施工工艺和给药的方法;可结合实际靶向治疗配体进的一步修饰语,保持递送。 

七、注意事项

准备方式方法 阐明贮存必要条件 –20℃背光吹干永久保存,以避免恩曲他滨及脂质溶解基本操作很安全 食用有机物强酸强碱时稳定透风,以免 吸取到及皮肤吧接受配比及安全使用 提醒丰富配比,防范长期性的保护引发活性氧拉低质管理 需可以保障溶解度及结构设计完成性,防止出现电离和聚积 

八、技术指标(示例)

投资项目 尺寸说明怎么写表面 紫色至淡淡的黄色色粉末状原材料或冻干粉溶解度 ≥95%(HPLC、质谱明确)原子核量 约4000-7000 Da存放状态 –20℃阴凉干躁保管封装技术参数 5 mg、10 mg、25 mg等 

九、相关文献参考

Barros S, et al. Lipid-based nanoparticles for antiviral drug delivery. Pharmaceutics. 2020.Yang Y, et al. Nanocarrier-based targeted delivery of antiviral drugs. Drug Discov Today. 2019.Liu Y, et al. Lipid nanoparticles for delivery of nucleoside analogs in antiviral therapy. ACS Nano. 2018.Zhang J, et al. Entecavir-loaded liposomes: preparation and evaluation. J Drug Target. 2017. 

十、总结

DSPE-PEG-恩曲他滨是一种创新的脂质修饰分子,将临床广泛应用的抗乙肝药物恩曲他滨与DSPE-PEG脂质载体有机结合,融合了脂质体的生物相容性、PEG链的水溶保护以及恩曲他滨的抗病毒功能。此产品为开发高效、安全的抗乙肝病毒纳米递送系统提供了强有力的工具,助力肝病治疗领域的研究创新。其稳定性好、易于脂质体组装及靶向功能修饰,适合广泛的基础研究和临床前药物开发应用。

 山东杏彩体育平台 生态学工程创新科技有限企业企业专注力于高物料重量聚乙二醇(PEG)简答具象化物工程的研发培训与出产,供给包扩规则化PEG、支化PEG、多官能团PEG、嵌段共聚物PEG等内的多种类基本条件构造物料,具有广泛性技术软件应用于生态学工程医疗器械、测试制剂、nm文件及化学工业炼制等这个领域。企业要具备智能化的定做特性,可会按照雇主标准供给其他原子核量(200–20,000 Da)、官能团(如-NH₂、-COOH、-SH、-N₃、-Biotin、荧光箭头等)各大各种构造的PEG淡化工作。凭着品质正规的炼制手机平台与严格执行的重量调节装修标准,杏彩体育平台 生态学工程锐意创新于为科学深入分析、口服药物制作和文件技术软件应用供给正规、安全、可产品追溯的PEG防止预案,可以支持雇主保持从调查室深入分析到流通业有效的转化的各大标准。企业:绵阳杏彩体育平台 微生物科枝现有新公司的主要用途是什么:科研工作程序:粉状/金属粉/液体出产地:武汉舒适提醒短信:未经许可科学研究,不能够在人工作!有关系车辆:DPPE-PEG2000-N3DPPE-PEG2000-NH2DOPE-PEG2000-FITCDOPE-PEG2000-CY5DOPE-PEG2000-CY7DMPE-PEG2000-FITCDPPE-PEG2000-FITCDLPE-MPEG2000DSPE-PEG2000-β-cyclodextrin