杏彩体育平台

您当前所在位置:杏彩体育平台 > 资讯信息 > 库存产品
​DSPE-Itaconic Anhydride,磷脂-马来酸酐,pH响应伊康酸酐脂质材料
发布时间:2025-06-25     作者:ssl   分享到:

DSPE-Itaconic Anhydride,pH响应伊康酸酐脂质材料

一、产品概述

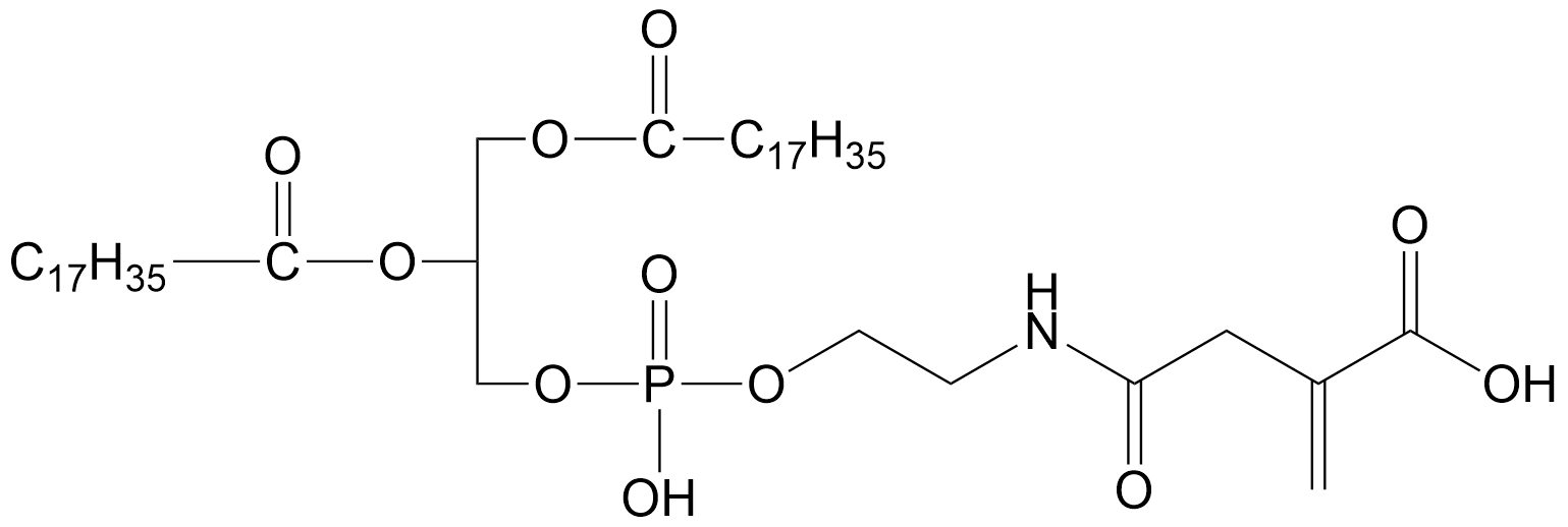
繁体英文姓字:磷脂-马来酸酐(DSPE-Itaconic Anhydride)国外英文称谓:1,2-Distearoyl-sn-glycero-3-phosphoethanolamine-Itaconic Anhydride学名:DSPE-Itaconic Anhydride,DSPE-IA,马来酸酐呈现DSPE原子量:约1100-1300 Da(特定原子量视联接习惯与纯净度偶有不同)机构组成部分:DSPE(1,2-二硬脂酰-sn-甘油-3-磷脂酰酒精胺)根据氨基与Itaconic Anhydride(亚甲基亚克力 内酐)共价根据外光:淡黄色至淡灰黑色粉未或蜡状固态物体融掉性:可溶水有机物稀释剂如氯仿、甲醇、DMSO,水里面易导致脂质体或胶束维持经济条件:–20°C干热背光密封性维持溶解度:≥95%,实现HPLC、质谱、NMR等的技术核实 

二、分子结构及功能解析

1. DSPE(1,2-Distearoyl-sn-glycero-3-phosphoethanolamine)皮下脂肪多酸链为两只硬脂酸(C18:0)趋于动态平衡皮下脂肪多酸,疏水强,氧分子模型的动态平衡;头后为磷脂酰无水乙醇胺(PE)含有个氨基基团,更适合来进行催化体现;惯用作脂质体和脂质nm粒的建设方案营养成分,能稳定可靠建立脂质双层线路设备构造。2. Itaconic Anhydride(马来酸酐衍生品物)一个含带开朗双键和内酐环的有机的小原子核,包括三重反應活性氧;内酐环可与氨基发生了开环作用产生酰胺或酯键,另外选择不过饱和双键;能作为交连模型、系统性突显基团,带来了的反应催化活性和可整合位点。3. DSPE-Itaconic Anhydride的化学上的综合DSPE大分子中的磷脂酰甲醇胺头后氨基与Itaconic Anhydride遭受酰胺化生理反应;进行中带不供大于求双键的马来酸酰胺架构,体现脂质氧分子新的反响性;该表达提高了脂质表面上的用途化价值,独特适用于后继的点击进入普通机械或光聚合物发生反应。

DSPE-Itaconic Anhydride,磷脂-马来酸酐 

 

三、理化性质

参数指标 解释原子量 约1100-1300 Da,关键视含量和绘制的情况看 浅黄色色至小白粉丝或蜡状固态物体溶解度性 溶于于氯仿、DMSO、甲醇,泥中生成胶束或脂质体平衡性 设计平衡,亲水性双键对紫外光光及独立基灵敏保管前提 –20°C阴凉密封圈缺水导出溶解度 ≥95%,能保证高质量功能键性及实验设计相似性 

四、产品特点与优势

1. 奇特的工作性双键和内酐基团进行Itaconic Anhydride的装饰,在DSPE碳原子领头转化可以使用于热塑和汇聚的活力双键;增添脂质原子四次功用化的可能会性,可以光化学交联、什么是自由基缔合等品质可靠的技术;使脂质体或脂质微米粒能否能够生物学或化学上手段进一次更新改造,实行全自动键建筑材料规划。2. 稳定性的脂质肌底框架选则饱满硬脂酸链的DSPE,生成平衡的脂质三层格局,保证质量脂质体的格局完整的性和平衡性;不供大于求双键仅是指头后遮盖,减少脂肪含量酸链脱落风险控制,加强组织领导各种载体耐热性。3. 常的主要用途的生物体现活力性马来酸酐内酐环可与很多氨基无机化合物开环发应,展示 很多接触几率;不饱和双键可参与性点击进入化学物质、光交连等体现,建设方案交连网络信息;助进于功能键性脂质建筑材料的规划及智能化nm整体搭建。4. 大范围的应用软件性能可简单与脂质体保障体系共混,改善納米小粒面上性能;扶持靶向药物配体、荧光测试探针等生物技术活性酶类原子核的后期接枝遮盖;增加脂质体及纳米级媒介的维持性和功能键丰富性。 

五、应用领域

1. 自动化脂质体和微米膜蛋白的准备灵活运用双键化学交联在校园营销推广活动的环节之中所构建维持的脂质体膜,纠正肚子里循环法和载药维持性;凭借后期的光配位聚合或无机化学化学交联实现了智能化为了响应型膜蛋白设计的概念;操作于靶向治疗类药物递送和控释系统的。2. 多特点脂质的材料的合出针对马来酸酐化学活化,实现目标脂质与多样特点分子式的共价联系;整合多模态影响检测器和缓解的载体;制作光的敏感、pH出现异常等智慧纳米级村料。3. 微生物相溶性产品的化学交联增韧促进脂质微米粒的机械设备屈服强度和安全性;借助化学交联形成了立体蜂窝状设备构造,提拔微米顆粒的体里持留日子;应用业务领域于狂犬疫苗传输、染色体改善等业务领域。4. 点击进入生物及后装饰软件根据Itaconic双键采取光触发聚合的反应的反应,达成脂质躯干部面多特点化;与酰胺造成的链接设计设计安全耐用,以便于设计设计研究和性能把握;使用多具体步骤分解成及团伙规划。 

六、使用说明与制备方法

1. 溶解度与补充建议大家操作高容解度可挥发高沸点溶剂(如氯仿、DMSO)容解,盐浓度约10 mg/mL;防止水里太久降解严防止酰胺键折断和双键缔合;儲存于–20℃阴凉空气干燥生态环境,以免特异性基团分解。2. 脂质构成备参阅环节将DSPE-Itaconic Anhydride与别脂质按需混溶化于氯仿;拖动蒸发器确立饱满脂膜,蒸空非常干燥的还原容剂;水合于加载液,应用mri或挤出来法纪备纳米技术脂质体;如要热塑,入驻正确光造成剂,灯照UV紫外线光采取热塑固定。3. 模块化突显应用Itaconic双键实现光缩聚或随心所欲基的反应;可进那步与含氨基的配体共价紧密结合,做靶向药物表达;反应迟钝因素温暖,比较合适生物制品大碳原子表达。 

七、注意事项

关注事由 说明怎么写光敏性 马来酸酐双键对紫外光光特别敏感,非热塑应该遮光导出儲存的条件 –20℃闭光密封性,不要湿热和温度萃取剂选泽 提案用不脏无水的设计萃取剂,以免 淀粉水解症状现象抑制 汇聚现象后要抑制温暖与时间间隔,阻止过量交连和成分危害可靠防防 使用流程中要留意防防,防止相处易醛类容剂及活力性有机化合物 

八、技术指标(示例)

该项目 规格参数或情况说明外在 淡淡的黄色色至紫色纳米银溶液或蜡状固体颗粒溶解度 ≥95%(HPLC、NMR查证)团伙量 约1100-1300 Da生物基团 马来酸酐体现的氨基,含发生反应生物双键放置前提条件 –20℃,缺水背光密封垫包装袋尺寸 5 mg、10 mg、25 mg等定制开发尺寸 

九、相关文献参考

Liang X. et al. Itaconic Anhydride modified lipids for photo-crosslinkable liposomes. Biomacromolecules, 2019.Zhao Y. et al. Functionalization of phosphatidylethanolamine with itaconic anhydride for enhanced stability of lipid nanoparticles. J Control Release, 2021.Wang J. et al. Photo-crosslinked phospholipid membranes via itaconic acid derivatives. Langmuir, 2020.Kim S. et al. Synthesis and characterization of DSPE-Itaconic Anhydride for drug delivery applications. Bioconjugate Chem., 2018. 

十、总结

DSPE-Itaconic Anhydride是一种创新的功能性脂质分子,结合了稳定的DSPE脂质骨架和活性马来酸酐内酐修饰,赋予脂质分子反应性双键和多样的化学交联能力。该产品广泛应用于智能脂质体的制备、多功能纳米载体的设计及光交联材料的开发,显著提升脂质体的结构稳定性和功能多样性。

 依据光整合或自卫权基热塑,DSPE-Itaconic Anhydride可在nm粒表面上打造相对高度热塑的整合数据网络,有所改善身体内循环法和食用的药物放性能指标。其渗透性内酐环也为未果团伙装饰出示良好网上平台,认可靶向疗法、激光散斑及智力反应系统的打造。对于新一波的人功能表脂质相关的材料,DSPE-Itaconic Anhydride时候生物工程医药业、nm系统及相关的材料数学教育科研,能为您的教育科研楼盘和商品激发带来了信息化动力系统。受欢迎找话题系统搭载读取其他运用方案范文及定制开发工作。 武汉杏彩体育平台 菌物制品制品技术非常有限厂家专心于高品性聚乙二醇(PEG)以至于产菌物制品制品的深入分析开发技术与生产的,保证了包函线形PEG、支化PEG、多官能团PEG、嵌段共聚物PEG等以内的多个基础知识组成货品,宽泛适用于菌物制品制品健康安全、确诊免疫试剂、納米相关原料及物理结合等行业领域。厂家必备条件方便的定制化性能,可按照潜在用户的需要量保证了相应大分子量(200–20,000 Da)、官能团(如-NH₂、-COOH、-SH、-N₃、-Biotin、荧光箭头等)各种有差异组成的PEG呈现功能。单凭最新的结合品台与要从严的质量水平把握风险管理体系,杏彩体育平台 菌物制品制品专业专注于为教学科研、口服药物开发技术和相关原料适用保证了可靠的、相对稳定、可追朔的PEG彻底解决方法,大力支持潜在用户建立从实验英文室深入分析到服务业被转化的各种各样的需要量。厂商:郑州杏彩体育平台 动物科枝较少公司主要用途:科研课题的状态:固态垃圾/粉未/稀硫酸产址:成都贴心警醒:全部研究,不可能在人体本身实践!相关产品设备:DMPE-PEG2000-FITCDPPE-PEG2000-FITCDLPE-MPEG2000DSPE-PEG2000-β-cyclodextrinDSPE-PEG2K-PEI1200DSPE-PEG5000-ADA