杏彩体育平台

您当前所在位置:杏彩体育平台 > 资讯信息 > 库存产品
DMPE-PEG2000-FITC修饰脂质体的构建及其在细胞成像中的应用研究
发布时间:2025-06-25     作者:ssl   分享到:

DMPE-PEG2000-FITC

DMPE-PEG2000-FITC修饰脂质体的构建及其在细胞成像中的应用研究

一、产品概述

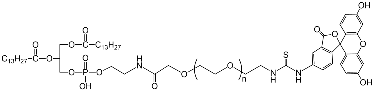
中文字幕名稱:1,2-二月桂酰-sn-甘油-3-磷酸工业乙醇胺-N-[聚乙二醇2000]-荧光素异硫氰酸酯因为名字大全:1,2-Dimyristoyl-sn-glycero-3-phosphoethanolamine-N-[fluorescein isothiocyanate-poly(ethylene glycol)-2000]简单来说就是:DMPE-PEG2000-FITC俗称:FITC-PEG2000-DMPE、荧光素标识DMPE-PEG、FITC-PEG-lipid团伙量:约3000–3300 Da外观设计:淡黄深绿至黄深绿粉状或蜡状固态物溶解性性:溶解于DMSO、DMF、氯仿、甲醇等有机肥料高沸点溶剂;一部分可细化于水里放置必备条件:–20°C干燥处理、遮光、密封保存图片内在用途:将脂质复制到生物制品膜/脂质体,赋于装置荧光可视化分析专业能力 

二、结构组成与功能模块

DMPE-PEG2000-FITC 是一种种三功能模块的两亲性原子核,由左右三部曲排列成:1. DMPE(1,2-二月桂酰磷脂酰乙酸乙酯胺)含两只C14趋于稳定皮下脂肪酸链(月桂酸),不同点DOPE/DPPE更短、溶点低;存在充分的膜亲和性,适于导入脂质体或组织细胞核模式中;膜置于性合适 ,都可以于安全稳定标示、靶向疗法的表面改良等软件。2. PEG2000(聚乙二醇)分子式量约2000 Da,能提供良好的的亲水和链段刚性;能正相关挺高模式在水相中的平稳性,极大减少非特异树脂吸附;可预防颗粒间的积聚,提升血浆循环往复期限。3. FITC(荧光素异硫氰酸酯)非常典型的精彩纷呈荧光纺织染料(增进主光谱 ~495 nm,释放主光谱 ~519 nm);需用于皮秒激光共准确把握电子显微镜、流式生殖细胞术生殖细胞术、荧光影像等;光敏感度性较高,在使用中需需要注意背光实际操作。

DMPE-PEG2000-FITC 

三、理化性质表

创业项目 叙说或熟知大分子量 ~3000–3300 Da疏水链位置 2条C14月桂酸链(达到饱和状态)PEG段 PEG2000(约49个重覆单元式)荧光团 FITC(Ex/Em ≈ 495/519 nm)外形 淡黄健康粉化或蜡状物料可溶性高,溶于水的出来性 氯仿、DMSO、甲醇等液体中稳定可溶性高,溶于水的出来推薦适用有机废气浓度 0.01–1 mg/mL(前提条件实验室软件系统调控)永久保留能力 –20°C皮肤干燥、闭光保留荧光性 明朗浅绿色,适宜于普普通通荧光平台和流式的检测工具 

四、产品优势与特色

✅ 脂质-PEG构造,比较好的膜置入与水相动态平衡性DMPE区域可将原子核安稳复制脂质体或生物制品膜中;PEG2000可覆盖至水相,尽量避免球蛋白吸出及粉末群聚。✅ 荧光标注稳定的、可视化管理程度强FITC标注使其应有清楚、可细化的绿化荧光,更加方便定位跟踪脂质体、胶束或納米粒的行为表现。✅ 模块电源化开发,应中用多微米媒体可与DSPC、DPPC、DOPE、Cholesterol等磷脂共主装;满足创建脂质体、胶束、人造膜装置等。✅ 发芽势的生物体相匹配性那些混合物应具高生物工程相匹配性,最适合使用于身体之外/休内影像、膜标识、组织追查、交融学习等。 

五、应用领域

1. 脂质体或胶束符号在准备脂质体的时候中申请加入一定量DMPE-PEG2000-FITC(如摩尔比1–5%)可达到整体风格系的荧光符号;能用于评估脂质体在受损细胞内的摄食、胞吞、脱离具体步骤。2. 上皮细胞质/手工膜标注与融为一体探索DMPE可放入上皮细胞核或脂双重;FITC荧光4g信号能用于关注膜间相融、内吞或膜片型成的过程 。3. 活細胞三维成像与nm粒关注使用于脂质围绕纳米级粒、水分子、血清等,做到标签与大数据可视化搜寻;实用作共集聚高倍显微镜观察植物、普鲁士蓝染色细胞系术研究分析等。4. 倡导多功用靶向药物操作系统与DSPE-PEG-Folic Acid、DSPE-PEG-RGD等靶点药物脂质联合用到,创造出一个靶点药物+激光散斑+递送分立式化平台网站。 

六、实验建议与使用方法

✅ 脂质管理体制备操作流程个人建议(复合膜水化法):将脂质的成分(如DSPC、Cholesterol、DMPE-PEG2000-FITC等)按摩推油尔比溶解于氯仿;的使用转动化掉仪蒸干萃取剂,导致复合膜;填加PBS或HEPES抗震液,37°C水化30–60小时;采用超声波或挤压出器(100 nm滤膜)型成均一颗颗径脂质体;如要剔除游离于FITC脂质,可透析或柱层析除理。✅ 荧光检查提议:提升光谱:488–495 nm发射卫星光波长:515–525 nm论文检测手段:共凝聚体视显微镜、荧光体视显微镜、流式神经细胞术神经细胞术、荧光分光光度计等准备事由:FITC在紫外光实体易光漂白剂,请防范经常段强光紫外线紫外线。 

七、储存与注意事项

投资项目 意见与建议代表干粉包存 –20°C,遮光、干热抽真空包存,提议半年内实用水液体手机截图图片 DMSO水液体可于–20°C手机截图图片1–2周,用到前回温阴凉治疗光敏性 FITC对光神经敏感,科学实验中特别留意阴凉用注重 用后赶快开敞贮罐,放到吸潮与荧光衰减 

八、安全信息

FITC名词解释研究物在高溶度下对皮或眼腈可能会产生激刺性;实验性使用请配带拳套、防护眼镜,以免 真接接觸与吸进;废渣物应依据荧光生物碳有机危险化学品补救程序流程标准规范处理。 

九、相关文献参考

Allen TM, Cullis PR. “Liposomal drug delivery systems: from concept to clinical applications.” Adv Drug Deliv Rev. 2013.Torchilin V. “Recent advances with liposomes as pharmaceutical carriers.” Nat Rev Drug Discov. 2005.Huang ZR et al. “Fluorescent labeling of liposomes with PEG–lipid–FITC for tracking uptake and biodistribution.” J Biomed Nanotechnol. 2017.Akinc A et al. “A combinatorial library of lipid-like materials for delivery of RNAi therapeutics.” Nat Biotechnol. 2008. 

十、订购信息(示意)

创业项目 游戏内容好产产品称谓称 DMPE-PEG2000-FITC原子量 ~3000–3300 Da荧光特点 FITC绿色的荧光,Ex ~495 nm / Em ~519 nm礼品盒规模 5 mg / 10 mg / 25 mg / 可来样加工饱和度 ≥95%(HPLC、MS、NMR)智能化姿料 COA、MSDS、操作白皮书、设备构造图永久包存情况 –20°C,背光、干涩包存 

十一、总结

DMPE-PEG2000-FITC 是一款高效、通用的脂质-荧光修饰试剂,广泛适用于脂质体、纳米粒、胶束、细胞膜标记等多种生物医学应用场景。其两亲性结构与PEG链提供了良好的稳定性,而FITC标签赋予系统出色的荧光成像能力。可应用于体外细胞追踪、体内递送监控、药物释放观察、膜动力学研究等多个领域,是构建可视化纳米递送平台的重要工具分子。

 成都杏彩体育平台 生态学自动化有限制装修总部细心于高高质的聚乙二醇(PEG)简答理论研究态学的制造研发与制造,作为区域非线性PEG、支化PEG、多官能团PEG、嵌段共聚物PEG等少部分的多种类基础知识组成部分类产品,很广操作于生态学制药、诊断报告免疫试剂、微米材质及物理化学制成等科技领域。装修总部拥有迟钝的来样加工效率,可只能根据买家所需作为指定碳原子量(200–20,000 Da)、官能团(如-NH₂、-COOH、-SH、-N₃、-Biotin、荧光标示等)以其多种组成部分的PEG修饰语的服务。根据一流的制成系统与坚持原则的质保持安全体系,杏彩体育平台 生态学努力于为科研课题、中成药制作和材质操作作为是真的吗、可靠、可可追溯性的PEG缓解方案怎么写,认可买家完成从实验性室理论研究到加工业转变成的分类所需。制造商:杭州杏彩体育平台 动物信息技术较少子公司的用途:科技形态:固体颗粒/粉未/溶剂产址:武汉温磬短信提醒:仅限于科研管理,不可能主要用于人體实验室!相关内容车辆:DPPE-PEG2000-NH2DOPE-PEG2000-FITCDOPE-PEG2000-CY5DOPE-PEG2000-CY7DMPE-PEG2000-FITCDPPE-PEG2000-FITCDLPE-MPEG2000