杏彩体育平台

您当前所在位置:杏彩体育平台 > 资讯信息 > 库存产品
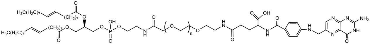
​DOPE-PEG2000-FA,二油酰磷脂酰乙醇胺-聚乙二醇-叶酸主动靶向系统中不可或缺的脂质构件
发布时间:2025-06-25     作者:ssl   分享到:

DOPE-PEG2000-FA:主动靶向系统中不可或缺的脂质构件

一、基本信息概览

英文版品牌:DOPE-PEG2000-叶酸片英文字母分类:1,2-Dioleoyl-sn-glycero-3-phosphoethanolamine-N-[folic acid-poly(ethylene glycol)-2000]商品信息俗称:DOPE-PEG2000-FA 或 DOPE-PEG-FA分子式量:约3300–3500 Da(PEG为2000 Da)铜网外观:茶色至黄红色固体颗粒/蜡状产品水解性:溶解于DMSO、DMF、氯仿、乙酸乙酯;一般的水都出现胶束或脂质体吸收状态:–20°C 背光常温、干燥,意见和建议惰性混合气体保证技能节构:DOPE + PEG2000 + 叶酸片(FA) 

二、结构组成与功能解析

DOPE-PEG2000-FA 都是种靶向药物型两亲性特点碳原子,由四部好友分组成:DOPE 个部分(疏水锚定组成)1,2-二油酰-sn-甘油-3-磷酸甲醇胺(DOPE),具有刺激性二个C18:1油酸链;拥有优秀的膜沟通协调效率、凝固效率和耐磨性性,广泛应用使用在创造出一个脂质体和工人膜系统。PEG2000 部位(亲水保障架构)PEG2000由约4五类乙二醇再次单元测试组合,提拱积极的亲水性树脂与室内空间反感治疗效果;增加离子血浆再循环周期,缩短免役识别体系,增进体系动态平衡性。DHA(FA)部门(靶向药物配体结构类型)做某种小分子式复合维生素,孕妇叶酸片可特异形紧密结合孕妇叶酸片感觉(Folate Receptor, FR);FR 在多种不同淋巴肿瘤组织细胞(如子宫癌、乳腺纤维癌、肺癌患者等)中传达品质同质性变高。 

三、理化性质参数

建设项目 参数 / 文章的话分子结构量 约3300–3500 DaPEG链直径 约41个多次重复象限多余脂肪酸组成部分 双不供大于求C18:1油酸链靶向药物基团 孕妇叶酸(Folic Acid)pKa(FA那部分) 约4.8–5.0,带弱酸碱性性媒体属性 两亲性大分子,可自制做成型胶束或包埋于脂质体膜中水无水磷酸氢 适中(需操作有机质溶液助溶或与别的脂质共混)

DOPE-PEG2000-FA,二油酰磷脂酰乙醇胺-聚乙二醇-叶酸 

四、产品优势与功能特点

1. 癌肿被动靶点递送特性叶酸片可与Folate Receptor(FR)高柔软性联系(Kd ~10⁻⁹ M);FR在多样实体的瘤表皮高描述,而在正常的細胞中描述较低;DOPE-PEG-FA使脂质体或纳米技术激光束具备条件活跃靶点实力。2. 膜锚定与亲水保护性重复模块DOPE方面可动态平衡融入到脂质膜或囊泡组成,PEG方面则展示长再循环实力和抗蛋白酶气体吸附耐磨性。3. 低免疫力原性与高微生物相溶性全部的结构重要组成部分(DOPE、PEG、FA)均为最常见海洋生物资料,低致癌性、低免疫系统敏感;适用于体中软件,如药品递送、图像测试探针、接种疫苗佐剂等。4. 可与好几种纳米技术平台兼容可与脂质体、纳米技术胶束、高分子物颗粒、量子点、带磁粒子束等主体运用,改变外面功能性化;也适用人群于包膜细胞核膜机系统或外泌躯干面实用功能改革。 

五、典型应用方向

1. 靶向疗法脂质体创设与DOPE、DSPC、Cholesterol、DSPE-PEG等共混分离纯化靶向治疗脂质体;载药后采用抗肿瘤口服药物、siRNA、mRNA等的靶向药物递送;常见靶点:暖巢癌、乳腺纤维癌、肺腺癌、结人体宫颈癌等。2. 靶点显像电极设计规划可与含荧光活性染料或MRI定影基团共表达;倡导具靶向疗法辨认效果的人体影像nm承载,如FA-脂质体-Cy5、FA-脂质体-Gd等。3. 内部靶向疗法实验英文 / 休外三维模型核验监测DOPE-PEG2000-FA掩盖粒状对FR阳型组织细胞系(如KB组织细胞系系)的摄入工作效率;比较FR呈阴性细胞核检验其特喜欢的人。4. 过程化外泌体遮盖导入FA-PEG-DOPE于外泌体或血细胞核仿生学囊泡面;满足肉瘤靶向药物递送手机平台的创建。 

六、使用方法建议

1. 脂质制度备与参杂标准好项目 意见和建议值或描述掺入数量 DOPE-PEG-FA占总脂类摩尔数量的0.5–5%共混脂质 DOPC、DSPC、Chol、DSPE-PEG等可溶性高,溶于水的最简单的方法 用氯仿或DMSO预溶,参于复合膜水化或无水乙醇植入涂层厚度检测策略 复合膜水化法、脂质体熔融挤出法、微流控法等2. 水溶液存储可以便用氯仿或乙酸乙酯/DMSO制作而成的母液(1–10 mg/mL),-20°C闭光保护;可冻干后继续存储,重溶时应对不停冻融。3. 从表面特点证实(如与FA隐影碳原子较)可可以通过流式人体细胞人体细胞术、共凝聚显微镜观察分析观察分析脂质体摄食相互影响;与FR弱阳体细胞或传导进行实验對照,核验其靶向治疗工作特女性朋友。 

七、储存与稳定性

补充湿度:–20°C下面,推薦在N2下储存;背光防霉:备孕叶酸结构类型对紫外线敏感脆弱,PEG部位易吸潮;稳明确性:干澡的情况下可留存13个月左右,溶剂的情况推荐 现配所用。 

八、注意事项

逃避强酸/强酸前提条件:备孕叶酸在毁灭性pH下易进行分解;杜绝与金属质制亚铁离子接处:概率与金属质制络合,不良影响性;液体动用:建议大家动用后会密封,屡次冻融会影响力FA活性酶类;实验所室中搭配方法荧光标记符号或抗原闭合实验所室更能安全验证其靶点性质。


九、订购信息(示例)

的项目 信息设备公司名称 DOPE-PEG2000-FA產品代号 DOPE-PEG2K-FA原子核量 ~3300–3500 Da饱和度 ≥95%(HPLC)包裝要求 5 mg / 10 mg / 25 mg / 50 mg / 私人订制储放要求 –20°C 干阴凉保证材质 COA、结构类型图、MSDS、用到原因分析书等 

十、总结

DOPE-PEG2000-FA 是一款集成脂质膜锚定能力、PEG稳定屏障与叶酸主动靶向功能于一体的高性能功能磷脂衍生物。它可用于构建肿瘤主动靶向纳米递送系统、生物成像平台以及工程化脂膜表面等先进应用,在纳米药物、癌症诊疗、组织工程、医学等领域展现出极大的应用潜力。

 广州杏彩体育平台 生态学科枝不多工司专注力于高物品聚乙二醇(PEG)及其其诞生态学的研发团队与分娩,提高涉及线形PEG、支化PEG、多官能团PEG、嵌段共聚物PEG等以内的各种基础理论格局物品,多操作于生态学医疗器械、临床诊断药剂学药品、微米素材及药剂学分解等范畴。工司具备着比较灵活的定制开放效果,可按照其企业要量提高某个团伙量(200–20,000 Da)、官能团(如-NH₂、-COOH、-SH、-N₃、-Biotin、荧光符号等)及其与众不同格局的PEG修饰语服务保障。光凭最新的分解工作平台与坚持原则的质理管理装修标准,杏彩体育平台 生态学本着打造于为科研开放、中药开放和素材操作提高可靠的、增强、可追述的PEG搞定的解决方案,搭载企业变现从试验室探究到行业转变成的各种各样要量。制造厂家:宝鸡杏彩体育平台 生物体科技产业十分有限子公司功能:科学程序:固态/颗粒/水溶液生产基地:山东舒心消息提醒:未经许可成果转化,不要用以人身体研究!重要性产品的:DSPE-RBDSPE-PEG2000-DBCODSPE-PEG3400-DBCODSPE-PEG2000-SHDSPE-PEG2000-N3MPEG2000-TK-DSPEDSPE-PEG2000-FADSPE-PEG2K-COOH