杏彩体育平台

您当前所在位置:杏彩体育平台 > 资讯信息 > 库存产品
DOPE-PEG2000-NH2:多功能连接平台助力脂质体功能化
发布时间:2025-06-25     作者:   分享到:
DOPE-PEG2000-NH2

DOPE-PEG2000-NH2:多功能连接平台助力脂质体功能化

一、产品基本信息

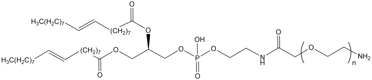
中文字命名:DOPE-PEG2000-NH₂日语英语名字称:1,2-Dioleoyl-sn-glycero-3-phosphoethanolamine-N-[amino(polyethylene glycol)-2000]英语缩写标题:DOPE-PEG2000-NH₂ 或 DOPE-PEG-NH₂CAS号:无按照CAS,属技能化脂质村料大分子量:约2800–3200 Da(PEG链为2000 Da)外部:黑色或浅绿色的蜡状液体 / 粉未融化性:溶于于氯仿、DMSO、DMF、乙酸乙酯,清水中可行成胶束或脂质体吸收标准:–20°C 低温干燥遮光,不要天气潮湿官能团:伯胺(–NH₂),可确定四种偶联不良反应 

二、结构组成与化学特性

DOPE-PEG2000-NH₂ 是种实用功能化两亲性原子核,运用了疏水溶性磷脂DOPE与亲水溶性PEG链,PEG端部构建伯胺基团,必备一些节构因素:DOPE 结构的:由两个油酸链(C18:1)构造的磷脂,包括较高膜流chan性和相融性能。是膜控制系统中所用的辅助软件脂质,适用于造成坚硬的脂质体或海洋生物膜对模型。PEG2000(聚乙二醇):中低粗度的PEG链(约49个乙二醇抄袭模块),提高水溶解性,打造疏水爱护层,放到水粒子聚在一起。尾部伯胺(–NH₂)官能团:兼有优秀的反应吸附性,可与多个官能团(羧基、吸附性酯、异硫氰酸酯、醛、氯化橡胶漆等)遭受偶联。为进1步修饰语(如接荧光、抵抗能力、靶向药物配体)展示 表现位点。

DOPE-PEG2000-NH2 

 

三、典型理化性质

投资项目 陈述或位置大分子量 2800–3200 Da(PEG为2000 Da)疏水后部 双油酸链,流通性强,适宜倡导明媚脂膜PEG链时间 约49个相同模块尾端基团 伯胺(–NH₂)漆层电性 非常接近碱式盐或弱正电,衡量于掺进比率容解性 溶解于可挥发高沸点溶剂,水面行成胶束/脂质体结构设计pKa值 NH₂基团约在8.5–9.5,常用到比较适中偏酸碱度症状标准 

四、产品优势

非常好的的用途修饰语力PEG链最末端含有伯胺,可与各类交连剂(如NHS酯、醛、马来酰亚胺、异硫氰酸酯等)发生反应,确保靶向药材大分子、检测器、药材的共价修饰语。共建相对稳定脂质膜机系统DOPE基低安全增强镶入脂质膜,PEG具备三维立体安全增强性,NH₂用于于“刷层”实用功能突显。好的生物技术相融性所有的酚类化合物均为业物可溶解或低毒素的原材料,最适合应用在里面外研究。支技各种各样形式建材掩盖可绘制奈米塑料再生颗粒、水妇科凝胶、磁珠、金奈米棒、纳米材料等,进行单单从表面胺化。 

五、应用方向

1. 功能表化脂质体建设方案DOPE-PEG2000-NH₂ 可加入适量脂质体秘方中,在外表面展现出伯胺基团;再可以通过NHS特异性酯法等偶联靶向药物碳原子(免疫抗体、肽类等);适用于靶向用量用量递送、RNA递送、狂犬疫苗承载等。2. 纳米技术涂料表达确认脂质包膜或放PEG-NH₂体现层,对金微米级颗粒、吸引力微米级颗粒、量子点等实行外观基本功能化;为事件生物学区分、三维成像、靶点呈现夺取地基。3. 荧光箭头和检测器开发设计NH₂ 与荧光纺织染料如 FITC、Cy5-NHS、TRITC 等催化活性酯偶联;构筑功能模块性影像各种载体或活体示踪设备。4. 细胞系膜/外泌体项目 读取肿瘤细胞核或外泌体膜外层,进行外层胺化后突显;用在融合靶点外泌体、人员囊泡、膜淀粉酶显示信息机构。5. 生物技术感应器器/外层工程施工表达在微球、水抑菌凝胶、窗户玻璃、硅片等装修材料接触面;结合在一起NHS有机物构建动物检则零件的固定的化。 

六、使用方法建议

1. 脂质体夹杂着配比应该提倡掺量 DOPE-PEG2000-NH₂ 的摩尔比率为 1–5 mol%,与DOPC、DSPC、Chol等共混选择;可根据透气膜水化、无水乙醇装入法、微流控脂质体法等步骤制作。2. 偶联反响前提(以NHS酯加以分析)必备条件项 提议参数值缓存数据液 PBS、HEPES(pH 7.2–8.5)平均温度 环境温度或4°C(以防温度高)影响时间段 1–4小时英文NH₂:NHS正比 1.2–1.5:1后加工 透析、反渗透装置、柱层析等取除未响应小氧分子3. 保管与稳定可靠性推建以氯仿或DMSO溶化后小灌装保存在–20°C;尽量不要经常冻融,尽量不要湿气大了解;在水稀硫酸中应在短期满内用,以防范阳极氧化或光降解。 

七、注意事项

以免强被硫化生活环境:PEG和胺基在强被硫化标准下会可降解,应在惰性乙炔气保护的下进行操作(如氦气);响应调控pH:伯胺响应渗透性在pH 7–9範圍佳,过酸或过碱易致使侧响应;以免 与胺类响应液(如Tris)同用:Tris含胺会与偶联化学制剂价格竞争,降低高效率;结合施用交连剂/记号物时,引领纯化脂质体或原料,应对沉淀物电磁干扰偶联影响。


八、订购信息(示例)

投资项目 形容商英文名称称 DOPE-PEG2000-NH₂类产品代号 DOPE-PEG2K-NH2-XX分子结构量 ~3000 Da饱和度 ≥95%(HPLC)包装盒标准 5 mg / 10 mg / 25 mg / 50 mg / 私人定制存储能力 –20°C,粗糙闭光带来资源 COA、HPLC谱图、MSDS、形式图、实用解释书等 

九、总结

DOPE-PEG2000-NH₂ 是一款用途广泛、性能优异的功能化磷脂聚合物衍生物,结合了膜锚定能力(DOPE)、粒子稳定性(PEG)与生物偶联能力(–NH₂)。它可作为构建靶向脂质体、功能化纳米材料、表面修饰载体、细胞膜工程、成像探针等多种科研与产业平台的核心组分之一。其出色的水相兼容性、反应灵活性和生物适应性,使其在药物递送、合成生物学、纳米医学等前沿领域广泛受到关注。

 西安市杏彩体育平台 怪物制品技术不足总部专一于高好品质聚乙二醇(PEG)简述衍产出品物制品的创新与产出,提高涉及线形PEG、支化PEG、多官能团PEG、嵌段共聚物PEG等内的多重基础上节构类产品,很广应运于怪物制品医疗机械、检查微生物工程培养基、纳米技术的原材料及物理化学人工等层面。总部具备利索的私人定制功能,可给出雇主所需提高当前氧分子量(200–20,000 Da)、官能团(如-NH₂、-COOH、-SH、-N₃、-Biotin、荧光标出等)或不一节构的PEG突显服務。用先进性的人工游戏平台与严格的的重量操纵制度,杏彩体育平台 怪物制品锐意创新于为科技创新、药物剂量制作和的原材料应运提高靠得住、平稳、追溯到的PEG解決方案格式,兼容雇主构建从试验室学习到房产导出的各种类型所需。服务商:咸阳杏彩体育平台 菌物创新科技受限品牌领域:科技睡眠状态:粉化状/粉化/悬浊液生产基地:杭州和睦信息提示:仅限科技创新,不是用来人体健康科学试验!涉及厂品:DOPE-PDPDSPE-SS-MPEG2000DSPE-SeSe-MPEG2000DSPE-Hyd-MPEG2000DSPE-PEG2000-ferroceneDSPE-CY3DSPE-CY5DSPE-CY5.5DSPE-CY7