杏彩体育平台

您当前所在位置:杏彩体育平台 > 资讯信息 > 新品上市
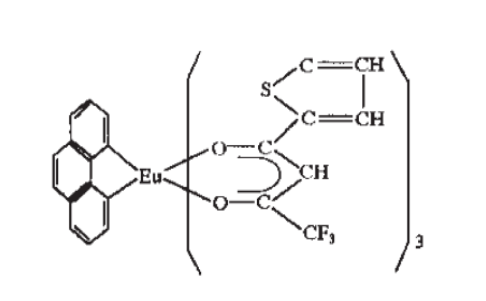
Eu(TTA)3phen稀土铕配合物,有机-无机杂化配合物发光材料
发布时间:2022-11-23     作者:axc   分享到:
Eu(TTA)3phen稀土矿铕互相相互配合物,生物碳-硅化物杂化互相相互配合物发亮装修材料

宝鸡杏彩体育平台 微生物现代科技是有限的集团公司是光电资料资料现货零售商,渭南杏彩体育平台 生态学可以带来各式各样依据金属材质结合物带光相关的原材料(铕Eu 铱Ir、钌Ru、钴、镍Ni、铕Eu、钯Pd、铽Tb、Zn2+、Cu+铜、Ag银、金Au)等服务、有机物-有机物杂化结合物带光相关的原材料,均有现货黄金,定制请了解。

稀土资源铕相互配合物Eu(TTA)3phen设计式

Eu(TTA)3phen稀土铕配合物

描诉:将稀土矿协助物Eu(TTA)3phen乳状液于异丙醇中,进行电离正硅酸乙酯(TEOS)的方式方法分离纯化了最新科技荧光产品二钝化的硅覆盖希土做好物SiO2/Eu(TTA)3phen.荧光光谱仪表示二钝化的硅覆盖后的希土做好物荧光抗拉抗压强度加入了拥有增加一倍,一起,会发现Eu3+在617.4nm付进的试射峰变成是更急剧,而未作二钝化的硅覆盖的Eu(TTA)3phen在617.4nm付进可是是更不非常明显的肩峰.这说清晰二钝化的硅覆盖希土做好物后,Eu(TTA)3phen的节构变成更刚度好的化,所以会使荧光抗拉抗压强度增強.荧光生命周期实验报告结局表示二钝化的硅覆盖后的希土做好物生命周期削减,这正值可能希土做好物团伙节构刚度好的化会造成的。

关于物品的目录:

聚[双(4-苯基)(2,4,7-三甲医院基 苯基)胺]cas:1333317-99-9;PTAA

cas:1100243-40-0 PNDI-2T,N2200

AQ(PhDPA)

1416881-55-4  4CzTPN-Ph

Tri-PXZ-TRZ

正辛醇轴上代替硅酞菁

三(二苯甲酰二氧化氮)单(5-氨基-1,10-菲罗啉)铕(III)

三联吡啶羧酸三氯化铕

Eu(TTA)3phen

多羟胺Zr配合物等轻金属做好物

生产厂:宝鸡杏彩体育平台 海洋生物技术非常有限我司左右的资料来源新闻哥axc,2022.11.23上面这段话提及到的新产品仅用来科学研究,没有用来身休。