杏彩体育平台

您当前所在位置:杏彩体育平台 > 资讯信息 > 新品上市
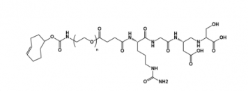
点击化学试剂TCO-PEG-RGD 反式环辛烯聚乙二醇线肽RGD的结构式
发布时间:2022-10-09     作者:zyl   分享到:
反式环辛烯(TCO)为亲双烯体与S-四嗪(Tetrazine)在人体生理经济条件下的反馈是否有需催化氧化剂、反馈频率快的优越性,被常见软件于生物学和素材科学技术的实验中。

产品名称 TCO-PEG-RGD 反式环辛烯聚乙二醇线肽RGD

中文名称 线肽-聚乙二醇-反式环辛烯

英文名称 TCO-PEG-RGD

碳原子量:1k,2k,3.4k,5k,10k,20k(可按需定制化)質量控住:95%+制造原材料消减数值PDI:≤1.05随意调节条件:-20°C,阴凉,避湿用  途:仅作科技工作动用,不要用于诊疗外表: 固态物或沾性流体,需要考虑于碳原子量准备议题:拿取相应要晾干,解决一直的溶水和冻干融掉性:不能充分均匀溶解大个部分设计溶液,如:DCM、DMF、DMSO、THF孩他。在水有很棒的融掉性

	TCO-PEG-RGD

私人定制合并安全服务:昆明杏彩体育平台 生物制品科学有限的品牌提供了各方面僵化的PEG繁衍物制品环保定制家具业务,荧光标识肽,各方面个性化什么是基因,各方面个性化蛋清或大分子,多肽表达PEG的偶联。1. 保证繁多复杂的、独特的PEG商品环保定制家具;2. 成为其全的PEG好物品备库可保证几万各种好物品类别;3. 具备多种多样官能团突显,机械性能好,纯程度高,服务碳原子量200~40k;4. 产出工艺设计简单,其它杂物低,产品品质不稳,转变成率溶解度超出95%;PEG分子式量可制定,1000,5000,3400,10000等等这些相关的设备:

TCO-PEG-Dansyl 反式环辛烯-聚乙二醇-丹磺酰氯

TCO-PEG-NBD 反式环辛烯-聚乙二醇-胆固醇

TCO-PEG-Cyanur 反式环辛烯-聚乙二醇-氰尿酸

TCO-PEG-TRITC 反式环辛烯-聚乙二醇-四甲基罗丹明

TCO-PEG-6-FAM 反式环辛烯-聚乙二醇-6-羧甲基荧光素

TCO-PEG-FITC 反式环辛烯-聚乙二醇-异硫氰基荧光素

TCO-PEG-CY3 反式环辛烯-聚乙二醇-菁染料CY3

TCO-PEG-CY5 反式环辛烯-聚乙二醇-菁染料CY5

祥和表示:从而得到 食品用疗效,材质应始终如一在皮肤潮湿前提条件下持续恒湿,尽量避免定期化冻和银行卡冻结。为保持食品的增强性,请留意事项在恒湿皮肤潮湿然后方能张开包装盒选用!温暖警告:仅使用于成果转化!!!厂商:石家庄杏彩体育平台 生物体高新科技有限工厂英文工厂